Skip to Main Content
Lỗi

Cổng Thông Tin Điện Tử

Ngân Hàng Nhà Nước Việt Nam

|
  • Tin tức - sự kiện
  • Chính sách tiền tệ
    • Định hướng điều hành CSTT và hoạt động ngân hàng trong năm
    • Thẩm quyền quyết định CSTT quốc gia và các công cụ thực hiện
  • Thanh toán & ngân quỹ
    • Nhiệm vụ của NHNN trong hoạt động thanh toán
    • Các hệ thống thanh toán trong nền kinh tế
      • Hệ thống thanh toán điện tử liên ngân hàng
      • Các hệ thống thanh toán khác
    • Giám sát hệ thống thanh toán
    • Thanh toán không dùng tiền mặt
    • Hệ thống mã tổ chức phát hành thẻ
    • Biểu phí dịch vụ thanh toán qua NHNN
    • Hoạt động ngân quỹ
    • Danh mục các giao dịch bắt buộc phải thanh toán qua ngân hàng
  • Phát hành tiền
    • Đồng tiền Việt Nam
    • Tiền thật, tiền giả
    • Những hành vi bị nghiệm cấm và một số quy định về xử phạt liên quan đến phòng, chống tiền giả và bảo vệ tiền Việt Nam
  • QUẢN LÝ NGOẠI HỐI
    VÀ KINH DOANH VÀNG
  • Dữ liệu thống kê
    • Cán cân thanh toán quốc tế
    • Tổng phương tiện thanh toán
      • Tổng phương tiện thanh toán và Tiền gửi của khách hàng tại TCTD
      • Tiền mặt lưu thông trên tổng phương tiện thanh toán
    • Hoạt động thanh toán
      • Giao dịch của hệ thống thanh toán quốc gia
      • Giao dịch thanh toán nội địa theo các PTTT
      • Giao dịch thanh toán nội địa qua Internet và Mobile Bank
      • Giao dịch qua ATM,POS/EFTPOS/EDC
      • Số lượng thẻ ngân hàng
      • Tài khoản tiền gửi thanh toán của cá nhân
      • Các tổ chức CUDVTT không phải là TCTD
    • Dư nợ tín dụng đối với nền kinh tế
    • Hoạt động của hệ thống các TCTD
      • Thống kê một số chỉ tiêu cơ bản
      • Tỷ lệ dư nợ cho vay so với tổng tiền gửi
      • Tỷ lệ nợ xấu trong tổng dư nợ tín dụng
    • Điều tra thống kê
      • Hướng dẫn
      • Phiếu điều tra
      • Kết quả điều tra
      • Điều tra trực tuyến
    • Các văn bản liên quan đến quy định báo cáo thống kê
  • Tin tức - Sự kiện
  • Thông cáo báo chí
    • Thông tin về hoạt động ngân hàng trong tuần
    • Thông cáo báo chí khác
  • Tỷ giá trung tâm
  • Tỷ giá tham khảo tại giữa đồng Việt Nam và các loại ngoại tệ tại Cục Quản lý ngoại hối
  • Tỷ giá tính chéo của Đồng Việt Nam với một số ngoại tệ để xác định giá tính thuế
  • Lãi suất NHNN quy định
  • Lãi suất thị trường liên ngân hàng
  • Dữ liệu thống kê
    • Cán cân thanh toán quốc tế
    • Tổng phương tiện thanh toán
      • Tổng phương tiện thanh toán và Tiền gửi của khách hàng tại TCTD
      • Tiền mặt lưu thông trên tổng phương tiện thanh toán
    • Hoạt động thanh toán
      • Giao dịch của hệ thống thanh toán quốc gia
      • Giao dịch thanh toán nội địa theo các PTTT
      • Giao dịch qua ATM/POS/EFTPOS/EDC
      • Số lượng thẻ ngân hàng
      • Tài khoản tiền gửi thanh toán của cá nhân
      • Các tổ chức CUDVTT không phải là TCTD
    • Dư nợ tín dụng đối với nền kinh tế
    • Hoạt động của hệ thống các TCTD
      • Thống kê một số chi tiêu cơ bản
      • Tỷ lệ dư nợ cho vay so với tổng tiền gửi
      • Tỷ lệ nợ xấu trong tổng dư nợ tín dụng
    • Điều tra thống kê
      • Hướng dẫn
      • Phiếu điều tra
      • Điều tra trực tuyến
      • Kết quả điều tra
    • Các văn bản liên quan đến quy định báo cáo thống kê
  • CPI
  • Văn bản quy phạm pháp luật
  • Chính sách tiền tệ
    • Định hướng điều hành CSTT và hoạt động ngân hàng trong năm
    • Thẩm quyền quyết định CSTT quốc gia và các công cụ thực hiện
  • Thanh toán & ngân quỹ
    • Nhiệm vụ của NHNN trong hoạt động thanh toán
    • Các hệ thống thanh toán trong nền kinh tế
      • Hệ thống thanh toán điện tử liên ngân hàng
      • Các hệ thống thanh toán khác
    • Giám sát hệ thống thanh toán
      • Thanh toán không dùng tiền mặt
    • Hệ thống mã tổ chức phát hành thẻ
    • Biểu phí dịch vụ thanh toán qua NHNN
    • Hoạt động ngân quỹ
    • Danh mục các giao dịch bắt buộc phải thanh toán qua ngân hàng
  • Phát hành tiền
    • Đồng tiền Việt Nam
    • Tiền thật, tiền giả
    • Những hành vi bị nghiệm cấm và một số quy định về xử phạt liên quan đến phòng, chống tiền giả và bảo vệ tiền Việt Nam
  • Quản lý hoạt động ngoại hối và hoạt động kinh doanh vàng
  • Cải cách hành chính
    • Tin tức CCHC
    • Bản tin CCHC nội bộ
    • Văn bản cải cách hành chính
    • Phiếu lấy ý kiến giải quyết TTHC
    • Bộ câu hỏi về thủ tục hành chính NHNN
    • Danh mục điều kiện kinh doanh
    • Danh mục báo cáo định kỳ
    • HTQLCL theo tiêu chuẩn ISO
    • Đào tạo ISO
  • Diễn đàn NHNN
    • Hỏi đáp
    • Lấy ý kiến dự thảo VBQPPL
  • Giới thiệu NHNN
    • Sơ lược quá trình thành lập và phát triển
    • Chức năng nhiệm vụ
    • Ban lãnh đạo đương nhiệm
    • Lãnh đạo NHNN qua các thời kỳ
Trang chủ
  • Tin tức - Sự kiện
  • Thông cáo báo chí
    • Thông tin về hoạt động ngân hàng trong tuần
    • Thông cáo báo chí khác
  • Tỷ giá trung tâm
  • Tỷ giá tham khảo tại giữa đồng Việt Nam và các loại ngoại tệ tại Cục Quản lý ngoại hối
  • Tỷ giá tính chéo của Đồng Việt Nam với một số ngoại tệ để xác định giá tính thuế
  • Lãi suất NHNN quy định
  • Lãi suất thị trường liên ngân hàng
  • Dữ liệu thống kê
    • Cán cân thanh toán quốc tế
    • Tổng phương tiện thanh toán
      • Tổng phương tiện thanh toán và Tiền gửi của khách hàng tại TCTD
      • Tiền mặt lưu thông trên tổng phương tiện thanh toán
    • Hoạt động thanh toán
      • Giao dịch của hệ thống thanh toán quốc gia
      • Giao dịch thanh toán nội địa theo các PTTT
      • Giao dịch qua ATM/POS/EFTPOS/EDC
      • Số lượng thẻ ngân hàng
      • Tài khoản tiền gửi thanh toán của cá nhân
      • Các tổ chức CUDVTT không phải là TCTD
    • Dư nợ tín dụng đối với nền kinh tế
    • Hoạt động của hệ thống các TCTD
      • Thống kê một số chi tiêu cơ bản
      • Tỷ lệ dư nợ cho vay so với tổng tiền gửi
      • Tỷ lệ nợ xấu trong tổng dư nợ tín dụng
    • Điều tra thống kê
      • Hướng dẫn
      • Phiếu điều tra
      • Điều tra trực tuyến
      • Kết quả điều tra
    • Các văn bản liên quan đến quy định báo cáo thống kê
  • CPI
  • Văn bản quy phạm pháp luật
  • Chính sách tiền tệ
    • Định hướng điều hành CSTT và hoạt động ngân hàng trong năm
    • Thẩm quyền quyết định CSTT quốc gia và các công cụ thực hiện
  • Thanh toán & ngân quỹ
    • Nhiệm vụ của NHNN trong hoạt động thanh toán
    • Các hệ thống thanh toán trong nền kinh tế
      • Hệ thống thanh toán điện tử liên ngân hàng
      • Các hệ thống thanh toán khác
    • Giám sát hệ thống thanh toán
      • Thanh toán không dùng tiền mặt
    • Hệ thống mã tổ chức phát hành thẻ
    • Biểu phí dịch vụ thanh toán qua NHNN
    • Hoạt động ngân quỹ
    • Danh mục các giao dịch bắt buộc phải thanh toán qua ngân hàng
  • Phát hành tiền
    • Đồng tiền Việt Nam
    • Tiền thật, tiền giả
    • Những hành vi bị nghiệm cấm và một số quy định về xử phạt liên quan đến phòng, chống tiền giả và bảo vệ tiền Việt Nam
  • Quản lý hoạt động ngoại hối và hoạt động kinh doanh vàng
  • Cải cách hành chính
    • Tin tức CCHC
    • Bản tin CCHC nội bộ
    • Văn bản cải cách hành chính
    • Phiếu lấy ý kiến giải quyết TTHC
    • Bộ câu hỏi về thủ tục hành chính NHNN
    • Danh mục điều kiện kinh doanh
    • Danh mục báo cáo định kỳ
    • HTQLCL theo tiêu chuẩn ISO
    • Đào tạo ISO
  • Diễn đàn NHNN
    • Hỏi đáp
    • Lấy ý kiến dự thảo VBQPPL
  • Giới thiệu NHNN
    • Sơ lược quá trình thành lập và phát triển
    • Chức năng nhiệm vụ
    • Ban lãnh đạo đương nhiệm
    • Lãnh đạo NHNN qua các thời kỳ
  • Fintech - Nghiên cứu trao đổi
  • Chuyên đề khác

Tác động của các cuộc họp báo của Fed đến thị trường

23/03/2023 22:19:00
0:00
/
0:00
Giọng Nam
  • Giọng Nam
  • Giọng Nữ

Từ tháng 4/2011, Chủ tịch Cục Dự trữ liên bang Hoa Kỳ (Fed) Ben Bernanke bắt đầu tổ chức các cuộc họp báo vào ngày cuối cùng của một số cuộc họp của FOMC - như một phần của quá trình chuyển đổi dài hạn sang minh bạch. Kể từ đó, những cuộc họp báo này đã trở thành một phần rất được mong đợi trong các hoạt động truyền thông của Fed với công chúng.

Nghiên cứu mới đây cho thấy sự biến động của thị trường trong các cuộc họp báo của Chủ tịch Fed Jerome Powell kể từ khi đại dịch Covid bắt đầu đã cao hơn gấp ba lần so với những người tiền nhiệm của ông và chúng có xu hướng đảo chiều so với các phản ứng ban đầu của thị trường đối với các tuyên bố của Ủy ban. Các sự kiện gần đây cũng nêu bật mức độ ảnh hưởng bởi các cuộc họp báo của FOMC đến thị trường: trong 06 cuộc họp báo của FOMC trong năm 2022, S&P 500 đã tăng hoặc giảm trên 1% với giá trị tương ứng khoảng 300 tỷ USD.

Kết quả phân tích chỉ ra có hai sự khác biệt nổi bật giữa các cuộc họp báo hiện nay của Fed và các nhiệm kỳ trước. Đầu tiên, sự biến động của thị trường cao hơn trong các cuộc họp báo của FOMC so với những thời điểm khác. Điều này đã đúng kể từ năm 2011 và nhưng đặc biệt rõ rệt đối với các cuộc họp báo của Chủ tịch Powell, cho thấy các họp báo đóng vai trò quan trọng định hình kỳ vọng của thị trường gần đây. Thứ hai, trước đại dịch COVID-19, các họp báo có xu hướng củng cố tuyên bố của FOMC, và thị trường vận động cùng chiều trong suốt cuộc họp báo như phản ứng ban đầu trước các tuyên bố. Tuy nhiên, kể từ khi bắt đầu đại dịch, trong các họp báo, thị trường chứng khoán và trái phiếu có xu hướng vận động trái chiều so với phản ứng trước tuyên bố của FOMC. Sự đảo ngược này có liên kết một cách có hệ thống với ngôn ngữ được sử dụng trong các bài phát biểu của Chủ tịch Powell.

Thị trường biến động hơn trong các họp báo

Các biến động thị trường đã nhận ra có thể đóng vai trò là một chỉ báo cho việc công bố thông tin liên quan đến thị trường. Hình 1 biểu thị sự biến động của lợi nhuận S&P 500 vào những ngày họp báo do Chủ tịch Powell và người tiền nhiệm của ông, Janet Yellen đưa ra. Theo nghiên cứu trước đó, các tuyên bố của FOMC lúc 14h00 được đánh dấu bằng một sự biến động mạnh khi thị trường phản ứng với thông tin mới được đưa ra. Buổi họp báo bắt đầu lúc 14h30 đi cùng với một sự gia tăng biến động khác, đặc biệt là đối với các họp báo gần đây dưới thời Chủ tịch Powell.

Hình 1. Biến động thị trường trong ngày họp báo của FOMC

Ghi chú: Hình 1 cho thấy biến động trung bình của chỉ số S&P 500 (được đại diện bởi SPY ETF) trong khoảng thời gian 5 phút từ 13h30 – 14h00 vào những ngày họp báo của FOMC. Các đường nét đứt cho biết thời điểm FOMC đưa ra tuyên bố (14h00) và thời gian bắt đầu họp báo (14h30).

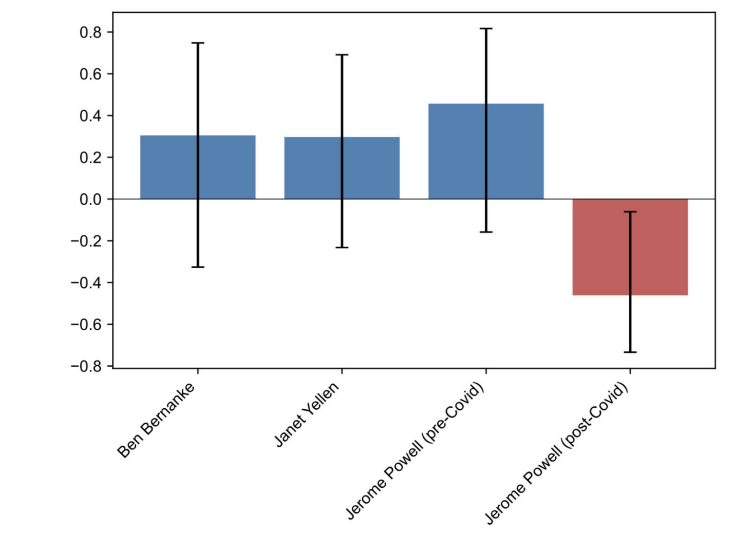
Hình 2 thể hiện sự gia tăng biến động của thị trường trong các cuộc họp báo của Fed được so sánh giữa các nhiệm kỳ của ba Chủ tịch Fed là Ben Bernanke, Janet Yellen và Jerome Powell. Trong đó, đo lường sự biến động của thị trường tại ba thời điểm khác nhau, gồm trong thời gian diễn ra họp báo, xung quanh thời điểm FOMC đưa ra tuyên bố và tại thời điểm một tuần trước họp báo. Phân tích cho thấy, mặc dù sự biến động của thị trường tăng cao trong các cuộc họp báo do cả ba chủ tịch tổ chức, nhưng điều này đặc biệt rõ rệt trong nhiệm kỳ của Chủ tịch Powell: sự biến động của thị trường trong các cuộc họp báo của ông lớn hơn ba lần so với thời Ben Bernake và Janet Yellen.

Hình 2. Biến động thị trường 1 tuần trước họp báo, tuyên bố của FOMC và trong họp báo

Ghi chú: Hình 2 thể hiện trung bình bình phương biến động chỉ số S&P 500 (được đại diện bởi SPY ETF) trong các cuộc họp báo do Chủ tịch Powell, Yellen và Bernanke chủ trì. Biến động được đo lường từ phút trước khi cuộc họp báo bắt đầu đến phút kết thúc. Để so sánh, trung bình bình phương biến động thị trường được so sánh trong 3 thời điểm khác nhau: 1 tuần trước họp báo, 30 phút khi các thông điệp được công bố và trong thời gian họp báo. Các cuộc họp khẩn cấp và đột xuất được loại trừ, gồm: họp báo đột xuất ngày 4/3/2014 dưới thời Chủ tịch Yellen và các cuộc họp báo khẩn cấp liên quan đến COVID-19 do Chủ tịch Powell chủ trì vào ngày 03 và 15/3/2020.

Một giải thích cho sự biến động mạnh của thị trường trong các họp báo của Powell là môi trường vĩ mô biến động hơn so với giai đoạn những người tiền nhiệm; bao gồm các phản ứng chính sách với đại dịch và sự bùng phát trở lại sau đó của lạm phát. Tuy nhiên, không có khác biệt đáng kể về mức độ biến động của thị trường giữa các nhiệm kỳ trong thời gian trước họp báo 1 tuần. Điều này cho thấy biến động cao trong các cuộc họp báo của Chủ tịch Powell không làm gia tăng biến động cơ bản của thị trường.

Ngoài ra, không có sự khác biệt đáng kể tại thời điểm sau khi FOMC đưa ra các tuyên bố. Điều đó cũng cho thấy biến động cao trong các cuộc họp báo của Chủ tịch Powell không phải là kết quả của một chính sách lãi suất bất ngờ hơn.

Các đo lường khác cũng chỉ ra biến động của thị trường tăng cao trước các họp báo của Chủ tịch Powell kể từ khi bắt đầu COVID-19, với sự khác biệt nhỏ về mức độ biến động khi FOMC đưa ra tuyên bố hoặc các tin tức khác liên quan đến Fed.

Phản ứng đảo chiều của thị trường

Khi FOMC bắt đầu tổ chức các cuộc họp báo vào năm 2011, mục đích của nó nhằm “tăng cường tính minh bạch và kịp thời trong việc truyền thông chính sách tiền tệ của Fed”. Trên thực tế, điều này có nghĩa là họp báo sẽ bám sát theo các tuyên bố của FOMC với rất ít thông tin phát sinh. Như một nhà bình luận đã nói sau hội nghị đầu tiên của Chủ tịch Bernanke vào năm 2011 là: “Về cơ bản, ông Bernanke không phạm sai lầm nào, bổ sung rất ít (thông tin) vào những gì chúng ta biết, nhưng đã cho thấy, ít nhất là với công chúng, rằng ông ấy hiểu mối quan tâm của họ”.

Dưới thời Chủ tịch Bernanke và Yellen, các cuộc họp báo của Fed thường tái khẳng định thông điệp được đưa ra trong tuyên bố của FOMC. Hình 3 cho thấy các thị trường có xu hướng vận động cùng chiều trong cuộc họp báo như các phản ứng ban đầu sau khi FOMC đưa ra các thông báo. Mặc dù điều này đúng với các họp báo của Chủ tịch Powell trước khi đại dịch Covid xảy ra, nhưng các cuộc họp gần đây đã khác với khuôn mẫu. Kể từ tháng 3/2020, thị trường có xu hướng chuyển động theo hướng ngược lại trong các họp báo của Chủ tịch Powell so với các phản ứng ban đầu khi FOMC đưa ra các thông báo.

Hình 3. Tương quan giữa phản ứng của thị trường với thông điệp của FOMC và trong các họp báo

Ghi chú: Hình 3 minh họa mối tương quan giữa biến động của S&P 500 với các thông điệp của FOMC và trong họp báo của các chủ tịch Fed. Một mối tương quan tích cực có nghĩa là S&P 500 tại thời điểm thông điệp được công bố có xu hướng vận động cùng chiều với những biến động tại thời điểm họp báo.

Một giải thích cho những vận động trái chiều này đó là thị trường có thể đã phản ứng thái quá với các tuyên bố gần đây của FOMC khi “dựa vào đó để hiểu rõ hơn”. Sự phản ứng thái quá cũng là một đặc điểm phổ biến của thị trường tài chính và sẽ có xu hướng tạo ra đảo chiều khi kỳ vọng chính xác.

Tuy nhiên, phân tích nội dung câu hỏi và trả lời trong các cuộc họp báo gần đây của Fed, các nhà nghiên cứu đã liên kết các phản ứng của thị trường với những ngôn ngữ được Chủ tịch Powell sử dụng. Thực tế, trong họp báo ngày 21/9/2022, thị trường chứng khoán Hoa Kỳ đã phản ứng rất tích cực với những ngôn ngữ được Chủ tịch sử dụng. Khi đó, thị trường tài chính tăng điểm và lợi tức trái phiếu kho bạc kỳ hạn hai năm giảm gần tám điểm cơ bản. Nhưng trong họp báo ngày 02/11/2022, Powell đã chuyển sang ngôn ngữ tiêu cực hơn rõ rệt và theo đó thị trường chứng khoán giảm gần 2%.

Những sự đảo chiều này của thị trường cho thấy các tuyên bố của FOMC không còn là “thông điệp cuối cùng” về định hướng lãi suất từ ​​​​Fed. Hình 4 thể hiện đường đi của lợi tức trái phiếu kho bạc kỳ hạn hai năm trong những ngày họp báo của FOMC dưới thời Chủ tịch Yellen và Powell. Dưới nhiệm kỳ của Chủ tịch Yellen, thị trường trái phiếu đã phản ứng nhanh chóng với các thông điệp của FOMC và có xu hướng duy trì quanh mức đó sau họp báo. Tuy nhiên, dưới nhiệm kỳ của Chủ tịch Powell các phản ứng ban đầu của thị trường đối với các thông điệp của FOMC phần nào đảo chiều trong các họp báo.

Hình 4. Đường đi của lợi tức trái phiếu kho bạc kỳ hạn hai năm vào các ngày họp báo của FOMC

Lưu ý: Hình 4 cho thấy mức thay đổi trung bình của lợi tức Trái phiếu Kho bạc kỳ hạn hai năm so với thời điểm 13h50 vào ngày họp báo của FOMC. Các đường đứt nét cho biết thời gian công bố thông điệp của FOMC (14h00) và thời gian bắt đầu họp báo (14h30).

Kết luận

Những mô hình này cho thấy vai trò của cuộc họp báo của Fed đang thay đổi theo hướng ngày càng quan trọng hơn. Các họp báo không phải lúc nào cũng chỉ nhắc lại các thông điệp của FOMC. Những thay đổi này có thể có nguyên nhân từ sự phát triển của chiến lược truyền thông của Fed. Chủ tịch Powell đã tăng gấp đôi số cuộc họp báo được tổ chức mỗi năm so với những người tiền nhiệm của ông và các thông điệp của FOMC cũng đã thay đổi về độ dài, mức độ phức tạp cũng như đa dạng các quan điểm được chia sẻ theo thời gian. Ngoài ra, một khả năng nữa là các cuộc họp báo cho phép Chủ tịch Powell nhấn mạnh quan điểm của mình và áp đảo ý kiến của các thành viên ủy ban khác; hoặc để bắt đầu về các chủ đề không được đề cập trong các thông báo của FOMC mà thị trường thấy có ảnh hưởng.

Mặt khác, việc đề cập đến các nội dung ngoài thông điệp thống nhất trong tuyên bố của FOMC và làm gia tăng biến động của thị trường có thể khá bất thường với các mục tiêu truyền thông khác của Fed. Theo giải thích của Alan Blinder (1998), “Bằng cách làm cho thị trường dễ dự đoán hơn, ngân hàng trung ương khiến các phản ứng của thị trường với chính sách tiền tệ trở nên dễ dự đoán hơn đối với chính nó. Và điều đó giúp việc quản lý nền kinh tế tốt hơn”. Những biến động lớn trên thị trường chứng khoán và trái phiếu chắc chắn không phù hợp với mục tiêu làm tăng khả năng dự đoán cũng như giảm bớt sự mơ hồ. Quả thật, các bằng chứng ho thấy các họp báo gần đây của Fed đã không thành công trong việc giảm bớt sự không chắc chắn về hướng đi của lãi suất trong tương lai. Một khả năng cuối cùng có thể là mục tiêu của các cuộc họp báo của Fed không nhằm giảm thiểu biến động thị trường và Fed đã không còn quá lo ngại về các tác động tức thời từ các quyết định của mình đối với thị trường trái phiếu, và có thể điều chỉnh chính sách nhanh chóng hơn khi cần.

MN (nguồn CEPR)

  • aA
  • Các chuyên mục:
  • Fintech - Nghiên cứu trao đổi
  • Chuyên đề khác
CÁC TIN KHÁC
Xung đột Trung Đông và tác động đến chính sách tiền tệ toàn cầu
15:57, 04/03/2026
Nghị quyết 79-NQ/TW: Cơ hội cho VAMC chuyển mình từ một đơn vị "mua nợ để giữ" sang một thực thể xử lý nợ thực chất và dẫn dắt thị trường
09:13, 02/03/2026
Xu hướng lạm phát toàn cầu và tác động chính sách
03:06, 10/02/2026
Tín dụng ngân hàng khẳng định vai trò “trụ đỡ” của nền nông nghiệp
17:00, 02/02/2026
Fed giữ nguyên lãi suất: duy trì quan điểm thận trọng
09:16, 29/01/2026
Triển vọng kinh tế thế giới năm 2026 và hàm ý đối với điều hành chính sách tiền tệ
09:13, 22/01/2026
Thanh toán trong kỷ nguyên số: Yêu cầu tái định vị vai trò của ngân hàng
11:28, 19/01/2026
ECB duy trì lập trường thận trọng trong bối cảnh lạm phát hạ nhiệt và bất ổn toàn cầu gia tăng
22:00, 15/01/2026
Thông tư số 77/2025/TT-NHNN: Tăng cường phòng vệ chủ động trước rủi ro công nghệ cao
09:51, 14/01/2026
WB: Việt Nam bứt phá mạnh mẽ về dịch vụ tài chính và sự linh hoạt môi trường kinh doanh
09:53, 09/01/2026
Đang hiển thị 1 đến 10 của 2045
  • 1
  • 2
  • 3
  • 205
Giới thiệu NHNN
  • Sơ lược quá trình thành lập và phát triển
  • Chức năng nhiệm vụ
  • Ban lãnh đạo đương nhiệm
  • Lãnh đạo NHNN qua các thời kỳ
CPI
Lãi suất
Dự trữ bắt buộc
Hoạt động thị trường tiền tệ
  • Nghiệp vụ thị trường mở
  • Thông tin chào bán tín phiếu NHNN
  • Đấu thầu Tín phiếu kho bạc nhà nước
    • Thông báo đấu thầu
    • Kết quả đấu thầu
  • Giấy mời tham gia đấu thầu vàng
Cải cách hành chính
  • Tin tức CCHC
  • Bản tin CCHC nội bộ
  • Văn bản CCHC
  • Phiếu lấy ý kiến giải quyết TTHC
  • Bộ câu hỏi về thủ tục hành chính NHNN
  • Danh mục điều kiện kinh doanh
  • Danh mục báo cáo định kỳ
  • HTQLCL theo tiêu chuẩn ISO
  • Đào tạo ISO
Dịch vụ công trực tuyến
Hoạt động khác
  • Đầu tư, đấu thầu
    • Thông tin đấu thầu
    • Các dự án đang chuẩn bị đầu tư
    • Các dự án đang triển khai
    • Các dự án đã hoàn tất
  • Tài chính vi mô tại Việt Nam
  • Ổn định tài chính
    • Giới thiệu
      • Ổn định tài chính và vai trò của ổn định tài chính
      • Vai trò của NHTW đối với ổn định tài chính
    • Báo cáo chuyên đề về ổn định tài chính
  • Hợp tác quốc tế
    • Quan hệ với ADB
    • Quan hệ với IMF
    • Quan hệ với IBEC - IIB
    • Quan hệ với WB
    • Quan hệ với AIIB
    • Quan hệ với BIS
    • Quan hệ song phương
      • Tổng quan về hoạt động hợp tác song phương
      • Khu vực châu Á
      • Khu vực châu Âu
      • Khu vực châu Mỹ
      • Khu vực châu Phi
      • Khu vực châu Đại Dương
    • Quan hệ đa phương
      • Tổng quan về hoạt động hợp tác đa phương
      • Giới thiệu tổ chức APEC
      • Giới thiệu tổ chức ASEM
      • Giới thiệu tổ chức WTO
      • Giới thiệu tổ chức ASEAN
      • Giới thiệu SEACEN
  • Công nghệ thông tin
    • Chiến lược phát triển và ứng dụng CNTT trong hoạt động ngân hàng
    • Hỗ trợ kỹ thuật
    • An toàn thông tin
      • Danh sách đầu mối ứng cứu sự cố ANTT
      • Hoạt động mạng lưới ứng cứu sự cố ANTT
      • Văn bản chính sách ANTT
      • Tài liệu tuyên truyền nâng cao nhận thức ANTT
  • Hoạt động khoa học công nghệ
    • Các chương trình đề tài
    • Kết quả các chương trình, đề tài
    • Hợp tác nghiên cứu
    • Dịch vụ khoa học công nghệ
    • Chiến lược phát triển ngành ngân hàng
  • Tổ chức cán bộ
    • Tuyển dụng
  • Thi đua khen thưởng
    • Văn bản về thi đua khen thưởng
    • Công tác thi đua khen thưởng
    • Lấy ý kiến nhân dân đối với tập thể, cá nhân được đề nghị khen thưởng cấp nhà nước
  • Hệ thống báo cáo phục vụ điều hành CSTT quốc gia
  • Hoạt động Tổ chức tín dụng
  • Hoạt động đoàn thể
  • Tài chính kế toán
    • Chế độ kế toán của NHNN
      • Văn bản quy phạm pháp luật
      • Văn bản hướng dẫn
    • Quản lý tài chính, tài sản của NHNN
      • Văn bản
      • Tình hình triển khai
    • Chế độ kế toán của TCTD
      • Văn bản quy phạm pháp luật
      • Văn bản hướng dẫn
    • Quản lý đầu tư xây dựng cơ bản
Cơ chế chính sách hỗ trợ doanh nghiệp
  • Các chính sách của NHNN
  • Các chính sách của TCTD
  • Giải đáp chính sách
  • Hỗ trợ pháp lý cho DNVVN
NHNN với Quốc hội và cử tri
  • Thống đốc NHNN trả lời đại biểu Quốc hội và cử tri
  • Thống đốc NHNN trả lời chất vấn của đại biểu Quốc hội
  • Thống đốc trả lời ý kiến, kiến nghị của cử tri
    • Thống đốc trả lời kiến nghị cử tri theo tỉnh, thành phố
    • Thống đốc trả lời kiến nghị cử tri theo nhóm vấn đề
  • Hoạt động về công tác Quốc hội
  • Báo cáo, giải trình
    • Báo cáo của NHNN
    • Giải trình của NHNN
  • Tài liệu tham khảo
    • Nghị quyết của Quốc hội
    • Báo cáo tại các Kỳ họp của Quốc hội
    • Nghị quyết của Ủy ban Thường vụ Quốc hội
  • Liên hệ
Công bố thông tin của Doanh nghiệp nhà nước thuộc ngành Ngân hàng
  • Danh sách Doanh nghiệp do NHNN quản lý và phần vốn góp tại Doanh nghiệp
  • Thông tin định kỳ
    • Chiến lược phát triển của doanh nghiệp
    • Kế hoạch sản xuất, kinh doanh và đầu tư phát triển 05 năm của doanh nghiệp
    • Kế hoạch sản xuất, kinh doanh và đầu tư phát triển hằng năm của doanh nghiệp
    • Báo cáo đánh giá về kết quả thực hiện kế hoạch sản xuất, kinh doanh hằng năm và 03 năm gần nhất tính đến năm báo cáo
    • Báo cáo kết quả thực hiện các nhiệm vụ công ích và trách nhiệm xã hội khác (nếu có)
    • Báo cáo thực trạng quản trị và cơ cấu tổ chức của doanh nghiệp
    • Báo cáo tình hình đầu tư, quản lý, sử dụng vốn nhà nước tại doanh nghiệp
    • Quyết định giao chỉ tiêu đánh giá hằng năm
    • Kế hoạch giám sát các doanh nghiệp
    • Báo cáo tài chính 06 tháng và báo cáo tài chính năm của doanh nghiệp
    • Báo cáo chế độ tiền lương, tiền thưởng của doanh nghiệp
    • Báo cáo tình hình thực hiện sắp xếp, đổi mới doanh nghiệp hằng năm
  • Thông tin bất thường
Hệ thống các TCTD
  • Ngân hàng
    • Ngân hàng thương mại
      • NHTM Nhà nước
      • NHTM Cổ phần
      • Ngân hàng 100% vốn nước ngoài
      • Ngân hàng liên doanh
    • Ngân hàng Chính sách xã hội
    • Ngân hàng Hợp tác xã
  • TCTD phi ngân hàng
    • Công ty tài chính
    • Công ty cho thuê tài chính
    • TCTD phi ngân hàng khác
  • Tổ chức tài chính vi mô
  • Quỹ tín dụng nhân dân
  • Chi nhánh ngân hàng nước ngoài
  • Văn phòng đại diện
Chương trình, chính sách tín dụng trọng điểm
  • Cơ chế, chính sách tín dụng, các chương trình, gói tín dụng hỗ trợ doanh nghiệp nhỏ và vừa
    • Văn bản chỉ đạo, điều hành
    • Kết quả triển khai
  • Chương trình khác
    • Kết quả triển khai
    • Văn bản chỉ đạo, điều hành
  • Chính sách tín dụng phục vụ phát triển nông nghiệp, nông thôn
    • Văn bản chỉ đạo, điều hành
    • Kết quả triển khai
Phổ biến kiến thức
  • Phổ biến kiến thức pháp luật
  • Các nội dung phổ biến kiến thức cộng đồng
    • Tiền Việt Nam - những điều bạn nên biết
      • Phát hành và điều hòa tiền mặt
      • Tiền không đủ tiêu chuẩn lưu thông
      • Tiền đình chỉ lưu hành
      • Phân biệt tiền thật, tiền giả
      • Bảo vệ tiền Việt Nam
    • Các hoạt động thanh toán qua ngân hàng
      • Một số thông tin về thẻ ngân hàng
      • Những điều cần biết khi giao dịch qua ngân hàng điện tử
Tiếp cận thông tin
  • Danh mục thông tin công khai
  • Thông tin về đầu mối cung cấp thông tin cho công dân
  • Địa chỉ tiếp nhận yêu cầu cung cấp thông tin qua mạng điện tử
  • Các mẫu phiếu sử dụng trong cung cấp thông tin
  • Hướng dẫn yêu cầu cung cấp thông tin
Thanh Tìm kiếm
TIN VIDEO
Ngân hàng Nhà nước Khu vực 5: Lan toả kỹ năng số trong mỗi cán bộ ngân hàng
Ngân hàng Nhà nước Khu vực 5: Lan toả kỹ năng số trong mỗi cán bộ ngân hàng
TIN ẢNH
Ấn tượng ngành Ngân hàng tại Triển lãm thành tựu Đất nước "80 năm Hành trình Độc lập - Tự do - Hạnh phúc"
Ấn tượng ngành Ngân hàng tại Triển lãm thành tựu Đất nước "80 năm Hành trình Độc lập - Tự do - Hạnh phúc"
TIN ẢNH
Ấn tượng ngành Ngân hàng tại Triển lãm thành tựu Đất nước "80 năm Hành trình Độc lập - Tự do - Hạnh phúc"
Ấn tượng ngành Ngân hàng tại Triển lãm thành tựu Đất nước "80 năm Hành trình Độc lập - Tự do - Hạnh phúc"
Icon

Danh bạ liên hệ

Icon

Phản ánh kiến nghị

Icon

Đường dây nóng

Calendar Icon LỊCH LÀM VIỆC CỦA BAN LÃNH ĐẠO Microphone Icon CÁC BÀI PHÁT BIỂU Chart Icon CPI Percentage Icon LÃI SUẤT Money Icon DỰ TRỮ BẮT BUỘC Graduation Icon GIÁO DỤC TÀI CHÍNH Newspaper Icon THÔNG CÁO BÁO CHÍ ẤN PHẨM PHÁT HÀNH
Ngân hàng
ĐẠI HỘI ĐẢNG CÁC CẤP NHIỆM KỲ 2025-2030 Chuyển đổi số
Danh Bạ Liên Hệ Phản Ánh Kiến Nghị Đường Dây Nóng
© cổng thông tin điện tử ngân hàng nhà nước việt nam
Địa chỉ: 49 Lý Thái Tổ - Hoàn Kiếm - Hà Nội
Thường trực Ban biên tập: (84 - 243) 266.9435
Email: thuongtrucweb@sbv.gov.vn rss
NCSC Certification
Số điện thoại tổng đài Ngân hàng Nhà nước: (84 - 243) 936.6306
Đầu mối tiếp nhận thông tin về sự cố an toàn thông tin: số điện thoại: (+84) 84.859.5983, email: antt@sbv.gov.vn
IPv6 Ready