Skip to Main Content
Lỗi

Cổng Thông Tin Điện Tử

Ngân Hàng Nhà Nước Việt Nam

|
  • Tin tức - sự kiện
  • Chính sách tiền tệ
    • Định hướng điều hành CSTT và hoạt động ngân hàng trong năm
    • Thẩm quyền quyết định CSTT quốc gia và các công cụ thực hiện
  • Thanh toán & ngân quỹ
    • Nhiệm vụ của NHNN trong hoạt động thanh toán
    • Các hệ thống thanh toán trong nền kinh tế
      • Hệ thống thanh toán điện tử liên ngân hàng
      • Các hệ thống thanh toán khác
    • Giám sát hệ thống thanh toán
    • Thanh toán không dùng tiền mặt
    • Hệ thống mã tổ chức phát hành thẻ
    • Biểu phí dịch vụ thanh toán qua NHNN
    • Hoạt động ngân quỹ
    • Danh mục các giao dịch bắt buộc phải thanh toán qua ngân hàng
  • Phát hành tiền
    • Đồng tiền Việt Nam
    • Tiền thật, tiền giả
    • Những hành vi bị nghiệm cấm và một số quy định về xử phạt liên quan đến phòng, chống tiền giả và bảo vệ tiền Việt Nam
  • QUẢN LÝ NGOẠI HỐI
    VÀ KINH DOANH VÀNG
  • Dữ liệu thống kê
    • Cán cân thanh toán quốc tế
    • Tổng phương tiện thanh toán
      • Tổng phương tiện thanh toán và Tiền gửi của khách hàng tại TCTD
      • Tiền mặt lưu thông trên tổng phương tiện thanh toán
    • Hoạt đông thanh toán
      • Giao dịch của hệ thông thanh toán quốc gia
      • Giao dịch thanh toán nội địa theo các PTTT
      • Giao dịch thanh toán nội địa qua Internet và Mobile Bank
      • Giao dịch qua ATM,POS/EFTPOS/EDC
      • Số lượng thẻ ngân hàng
      • Tài khoản tiền gửi thanh toán của cá nhân
      • Các tổ chức CUDVTT không phải là TCTD
    • Dư nợ tín dụng đối với nền kinh tế
    • Hoạt đông của hệ thống các TCTD
      • Thống kê một số chỉ tiêu cơ bản
      • Tỷ lệ dư nợ cho vay so với tổng tiền gửi
      • Tỷ lệ nợ xấu trong tổng dư nợ tín dụng
    • Điều tra thống kê
      • Hướng dẫn
      • Phiếu điều tra
      • Kết quả điều tra
      • Điều tra trực tuyến
    • Các văn bản liên quan đến quy định báo cáo thống kê
  • Tin tức sự kiện
  • Thông cáo báo chí
    • Thông tin về hoạt động ngân hàng trong tuần
    • Thông cáo báo chí khác
  • Tỷ giá trung tâm
  • Tỷ giá tham khảo tại giữa đồng Việt Nam và các loại ngoại tệ tại Cục Quản lý ngoại hối
  • Tỷ giá tính chéo của Đồng Việt Nam với một số ngoại tệ để xác định giá tính thuế
  • Lãi suất NHNN quy định
  • Lãi suất thị trường liên ngân hàng
  • Dữ liệu Thống kê
    • Cán cân thanh toán quốc tế
    • Tổng phương tiện thanh toán
      • Tổng phương tiện thanh toán và Tiền gửi của khách hàng tại TCTD
      • Tiền mặt lưu thông trên tổng phương tiện thanh toán
    • Hoạt động thanh toán
      • Giao dịch của hệ thống thanh toán quốc gia
      • Giao dịch thanh toán nội địa theo các PTTT
      • Giao dịch qua ATM/POS/EFTPOS/EDC
      • Số lượng thẻ ngân hàng
      • Tài khoản tiền gửi thanh toán của cá nhân
      • Các tổ chức CUDVTT không phải là TCTD
    • Dư nợ tín dụng đối với nền kinh tế
    • Hoạt động của hệ thống các TCTD
      • Thống kê một số chi tiêu cơ bản
      • Tỷ lệ dư nợ cho vay so với tổng tiền gửi
      • Tỷ lệ nợ xấu trong tổng dư nợ tín dụng
    • Điều tra thống kê
      • Hướng dẫn
      • Phiếu điều tra
      • Điều tra trực tuyến
      • Kết quả điều tra
    • Các văn bản liên quan đến quy định báo cáo thống kê
  • CPI
  • Văn bản quy phạm pháp luật
  • Chính sách tiền tệ
    • Định hướng điều hành CSTT và hoạt động ngân hàng trong năm
    • Thẩm quyền quyết định CSTT quốc gia và các công cụ thực hiện
  • Thanh toán & ngân quỹ
    • Nhiệm vụ của NHNN trong hoạt động thanh toán
    • Các hệ thống thanh toán trong nền kinh tế
      • Hệ thống thanh toán điện tử liên ngân hàng
      • Các hệ thống thanh toán khác
    • Giám sát hệ thống thanh toán
      • Thanh toán không dùng tiền mặt
    • Hệ thống mã tổ chức phát hành thẻ
    • Biểu phí dịch vụ thanh toán qua NHNN
    • Hoạt động ngân quỹ
    • Danh mục các giao dịch bắt buộc phải thanh toán qua ngân hàng
  • Phát hành tiền
    • Đồng tiền Việt Nam
    • Tiền thật, tiền giả
    • Những hành vi bị nghiệm cấm và một số quy định về xử phạt liên quan đến phòng, chống tiền giả và bảo vệ tiền Việt Nam
  • Quản lý hoạt động ngoại hối và hoạt động kinh doanh vàng
  • Cải cách hành chính
    • Tin tức CCHC
    • Bản tin CCHC nội bộ
    • Văn bản cải cách hành chính
    • Phiếu lấy ý kiến giải quyết TTHC
    • Bộ câu hỏi về thủ tục hành chính NHNN
    • Danh mục điều kiện kinh doanh
    • Danh mục báo cáo định kỳ
    • HTQLCL theo tiêu chuẩn ISO
    • Đào tạo ISO
  • Diễn đàn NHNN
    • Hỏi đáp
    • Lấy ý kiến dự thảo VBQPPL
  • Giới thiệu NHNN
    • Sơ lược quá trình thành lập và phát triển
    • Chức năng nhiệm vụ
    • Ban lãnh đạo đương nhiệm
    • Lãnh đạo NHNN qua các thời kỳ
Trang chủ
  • Tin tức sự kiện
  • Thông cáo báo chí
    • Thông tin về hoạt động ngân hàng trong tuần
    • Thông cáo báo chí khác
  • Tỷ giá trung tâm
  • Tỷ giá tham khảo tại giữa đồng Việt Nam và các loại ngoại tệ tại Cục Quản lý ngoại hối
  • Tỷ giá tính chéo của Đồng Việt Nam với một số ngoại tệ để xác định giá tính thuế
  • Lãi suất NHNN quy định
  • Lãi suất thị trường liên ngân hàng
  • Dữ liệu Thống kê
    • Cán cân thanh toán quốc tế
    • Tổng phương tiện thanh toán
      • Tổng phương tiện thanh toán và Tiền gửi của khách hàng tại TCTD
      • Tiền mặt lưu thông trên tổng phương tiện thanh toán
    • Hoạt động thanh toán
      • Giao dịch của hệ thống thanh toán quốc gia
      • Giao dịch thanh toán nội địa theo các PTTT
      • Giao dịch qua ATM/POS/EFTPOS/EDC
      • Số lượng thẻ ngân hàng
      • Tài khoản tiền gửi thanh toán của cá nhân
      • Các tổ chức CUDVTT không phải là TCTD
    • Dư nợ tín dụng đối với nền kinh tế
    • Hoạt động của hệ thống các TCTD
      • Thống kê một số chi tiêu cơ bản
      • Tỷ lệ dư nợ cho vay so với tổng tiền gửi
      • Tỷ lệ nợ xấu trong tổng dư nợ tín dụng
    • Điều tra thống kê
      • Hướng dẫn
      • Phiếu điều tra
      • Điều tra trực tuyến
      • Kết quả điều tra
    • Các văn bản liên quan đến quy định báo cáo thống kê
  • CPI
  • Văn bản quy phạm pháp luật
  • Chính sách tiền tệ
    • Định hướng điều hành CSTT và hoạt động ngân hàng trong năm
    • Thẩm quyền quyết định CSTT quốc gia và các công cụ thực hiện
  • Thanh toán & ngân quỹ
    • Nhiệm vụ của NHNN trong hoạt động thanh toán
    • Các hệ thống thanh toán trong nền kinh tế
      • Hệ thống thanh toán điện tử liên ngân hàng
      • Các hệ thống thanh toán khác
    • Giám sát hệ thống thanh toán
      • Thanh toán không dùng tiền mặt
    • Hệ thống mã tổ chức phát hành thẻ
    • Biểu phí dịch vụ thanh toán qua NHNN
    • Hoạt động ngân quỹ
    • Danh mục các giao dịch bắt buộc phải thanh toán qua ngân hàng
  • Phát hành tiền
    • Đồng tiền Việt Nam
    • Tiền thật, tiền giả
    • Những hành vi bị nghiệm cấm và một số quy định về xử phạt liên quan đến phòng, chống tiền giả và bảo vệ tiền Việt Nam
  • Quản lý hoạt động ngoại hối và hoạt động kinh doanh vàng
  • Cải cách hành chính
    • Tin tức CCHC
    • Bản tin CCHC nội bộ
    • Văn bản cải cách hành chính
    • Phiếu lấy ý kiến giải quyết TTHC
    • Bộ câu hỏi về thủ tục hành chính NHNN
    • Danh mục điều kiện kinh doanh
    • Danh mục báo cáo định kỳ
    • HTQLCL theo tiêu chuẩn ISO
    • Đào tạo ISO
  • Diễn đàn NHNN
    • Hỏi đáp
    • Lấy ý kiến dự thảo VBQPPL
  • Giới thiệu NHNN
    • Sơ lược quá trình thành lập và phát triển
    • Chức năng nhiệm vụ
    • Ban lãnh đạo đương nhiệm
    • Lãnh đạo NHNN qua các thời kỳ
  • Thông tin về Fintech
  • Fintech - Nghiên cứu trao đổi
  • Tạp chí Ngân hàng

Phương pháp phát hiện dữ liệu bất thường trong giám sát trực tuyến an toàn thông tin tài chính, ngân hàng

14/10/2022 23:13:00
0:00
/
0:00
Giọng Nam
  • Giọng Nam
  • Giọng Nữ

Trong những năm gần đây, nhiều nhà khoa học đã nghiên cứu, mô hình hóa các bài toán chuỗi thời gian thực tế trong lĩnh vực tài chính, ngân hàng và ứng dụng các kỹ thuật học máy thống kê để giải quyết chúng…

Tóm tắt: Trong những năm gần đây, nhiều nhà khoa học đã nghiên cứu, mô hình hóa các bài toán chuỗi thời gian thực tế trong lĩnh vực tài chính, ngân hàng và ứng dụng các kỹ thuật học máy thống kê để giải quyết chúng. Trong đó, bài toán phát hiện dữ liệu bất thường trong kịch bản trực tuyến là một trong những bài toán được quan tâm rộng rãi bởi khả năng ứng dụng cao trong các quá trình giám sát, phân tích dữ liệu thu thập được và báo cáo các quan sát bất thường để đảm bảo môi trường vận hành an toàn. Trong kịch bản trực tuyến, mô hình chỉ sử dụng dữ liệu lịch sử và thuật toán phát hiện bất thường cần đảm bảo thời gian thực thi thấp. Phương pháp phổ biến thường được sử dụng là giả định dữ liệu tuân theo phân phối chuẩn và dùng thuật toán ngưỡng để phân loại. Trong bài viết này, chúng tôi đề xuất một thuật toán hai bước sử dụng thuật toán ngưỡng để tiền phân loại và phương pháp phân cụm để xác nhận nhãn của điểm dữ liệu mới nhằm làm giảm tỷ lệ dương tính giả và âm tính giả. Các thí nghiệm được thực hiện trên hai bộ dữ liệu bao gồm một bộ dữ liệu tự sinh và một bộ dữ liệu thực mô tả các giao dịch bằng thẻ tín dụng của khách hàng ở châu Âu. Kết quả thực nghiệm chỉ ra rằng, thuật toán đề xuất làm giảm đáng kể tỷ lệ dương tính giả và âm tính giả so với thuật toán thường hay sử dụng. Mô hình và thuật toán đề xuất có thể được ứng dụng rộng rãi trong các hệ thống giám sát thông tin giúp các ngân hàng, tổ chức tài chính kịp thời phát hiện các cuộc tấn công hoặc gian lận trong sử dụng dịch vụ.
 

Từ khóa: Phát hiện bất thường, giám sát trực tuyến, gian lận tài chính.
 

A PROPOSED ABNORMAL DETECTION ALGORITHM FOR MONITORING INFORMATION SECURITY OF BANKING AND FINANCE IN ONLINE SCENARIO
 

Abstract: Recently, many researchers have studied problems of time series processes in banking and finance sector and applied statistical learning techniques to solve them. In particular, the abnormal detection problem in an online scenario is one of the most widely-studied problems due to its high applicability in information security. In the online scenario, abnormal detection models are required to use only historical data and ensure low execution time. The popular statistical approaches often assumed that data followed a normal distribution and used threshold values for classification. In this paper, we propose a new two-step algorithm for abnormal detection in the online scenario. The first step uses a threshold algorithm to predict a label of a new data point. The second step validates the predicted label by using a clustering method to reduce the false-positive and false-negative rates. Experimental results on an artificial dataset and a real credit card transaction dataset show the efficiency and applicability of the proposed algorithm for information monitoring and abnormal warning in the banking and finance sector.


Keywords: Abnormal detection, online monitoring, financial fraud.
 

I. Giới thiệu
 


Hoạt động của ngành tài chính, ngân hàng đóng một vai trò quan trọng trong việc thiết lập sự ổn định tài chính của mỗi quốc gia. Hơn nữa, sự gia tăng dân số, phát triển kinh tế và công nghệ đã đẩy mạnh nhu cầu sử dụng các dịch vụ ngân hàng, tài chính của người dân một cách an toàn, hiệu quả. Do đó, những người ra quyết định trong ngành này rất cần các công cụ phân tích dữ liệu lớn để dự đoán, phân loại thông tin, kịp thời đưa ra các cảnh báo khi dữ liệu thu thập được có dấu hiệu bất thường. Trong những năm gần đây, nhiều nhà nghiên cứu đã mô hình hóa các bài toán chuỗi thời gian thực tế trong lĩnh vực tài chính, ngân hàng và ứng dụng các kỹ thuật học máy để giải quyết chúng. Trong đó, bài toán phát hiện dữ liệu bất thường trong kịch bản trực tuyến là một trong những bài toán được quan tâm rộng rãi bởi khả năng ứng dụng cao trong các quá trình giám sát, phân tích dữ liệu thu thập được và báo cáo bất kỳ quan sát bất thường nào để đảm bảo môi trường hoạt động và vận hành an toàn. Đây là một chủ đề có tính ứng dụng cao do hầu hết dữ liệu hoạt động và vận hành đều đến từ các quá trình ngẫu nhiên theo thời gian (ví dụ như số lượt đọc/ghi dữ liệu hằng giờ của một máy trạm, phần trăm sử dụng tài nguyên số của một nhân viên ngân hàng hằng ngày, số lượt truy cập vào một trang web, hay các giao dịch tín dụng). Việc giám sát và phát hiện dữ liệu bất thường theo thời gian thực cho phép người điều hành kịp thời ngăn chặn và khắc phục các hành vi gian lận hay phá hoại.

Hình 1: Ví dụ minh họa các điểm bất thường trong quá trình ngẫu nhiên theo thời gian

 

Bài toán phát hiện bất thường đề cập đến việc nhận dạng tự động các hiện tượng ngoại lệ được nhúng trong một lượng lớn dữ liệu bình thường (outlier detection) hoặc không lường trước được xuất hiện theo thời gian thực (novelty detection) (Hình 1). Trong các quá trình ngẫu nhiên theo thời gian, điểm ngoại lệ (outlier) thường được dùng để biểu diễn những quan sát bất thường chỉ kéo dài trong chốc lát, sau đó chuỗi thời gian trở lại bình thường. Điều này có nghĩa là chúng ta đã thu thập được các quan sát trong một khoảng thời gian trước và sau điểm ngoại lệ. Do đó, nó thường được áp dụng cho các bài toán phát hiện điểm bất thường dạng thức ngoại tuyến (offline detection). Trong bối cảnh dữ liệu đến theo thời gian thực (streaming data), có hai ràng buộc bổ sung đối với việc thiết kế mô hình phát hiện bất thường là: 
 

- Mô hình chỉ có thể sử dụng dữ liệu lịch sử để thực hiện phát hiện.
 

- Việc phát hiện phải được thực hiện trong một khoảng thời gian nhất định (ngắn). 
 

Nếu hai yêu cầu này được thỏa mãn, phương pháp này được gọi là phát hiện bất thường trực tuyến (Online detection).
 

Phát hiện bất thường là một chủ đề đầy thách thức, chủ yếu là do khó có đủ kiến thức và định nghĩa chính xác của “tính bất thường” trong một vấn đề cụ thể, điều này làm giảm hiệu quả của việc sử dụng những kỹ thuật học giám sát. Trong nhiều trường hợp, không có định nghĩa chung được đưa ra cho tính bất thường trước khi phát hiện. Đồng thời, dữ liệu bất thường được nhúng trong một lượng lớn dữ liệu bình thường là không đủ để xây dựng một lớp mới để có thể phân loại. Do đó, phương pháp phát hiện mới, lạ được định nghĩa tốt nhất như một phương pháp học không giám sát, tức là không có nhãn nào có sẵn và việc phát hiện chỉ có thể dựa trên các thuộc tính nội tại của dữ liệu. 
 

Bất chấp thách thức của nó, trong những năm gần đây, phát hiện bất thường trở thành một chủ đề ngày càng thu hút nhiều sự quan tâm và nhiều kỹ thuật đã được nghiên cứu, đề xuất để giải quyết. Các kỹ thuật này đã được thực nghiệm chứng minh là có hiệu quả trong một số trường hợp, trong khi chúng có thể thất bại trong các trường hợp khác. Ví dụ, một số phương pháp được thiết kế dựa trên giả định đã có các mô hình chính xác của vấn đề đang xem xét, hoặc giả định đã biết các điều kiện bất thường. Những giả định này thường không hiệu quả trong thế giới thực. Trong một số nghiên cứu khác, phát hiện bất thường được hiểu đơn giản là phát hiện ngoại lệ. Tuy nhiên, sự đơn giản hóa này tạo ra các phương pháp không thể phát hiện ra các mẫu mới được hình thành bởi các quá trình ngẫu nhiên theo thời gian. Đặc biệt, phương pháp phát hiện tính mới được đề xuất dựa trên một kỹ thuật   máy vector hỗ trợ (Support Vector Machine - SVM), trong đó, một số mẫu mới buộc phải được xác định trước trong tập dữ liệu đã có. Thay vì sử dụng thuật toán One-class SVM, các phương pháp phân loại bán giám sát cũng đã được phát triển trong đó mô hình được huấn luyện trên một số tập mẫu nhỏ đã được gán nhãn bình thường và bất thường, phương pháp phân loại không giám sát cũng được sử dụng cho phép tính điểm bất thường trong không gian được chiếu. Các tác giả Nguyen, H.T và Thái, NH (2019) đã đề xuất phương pháp phát hiện điểm bất thường trong cả kịch bản ngoại tuyến và trực tuyến, ứng dụng cho cả dữ liệu thời gian và không gian cho các cảm biến không dây. Phương pháp đề xuất được cải tiến từ phương pháp Hampel, dựa trên ngưỡng (rule-based), có thời gian thực thi thấp nên có khả năng ứng dụng cho các hệ thống giám sát trực tuyến. Mô hình có hạn chế là sử dụng giả định biết trước phân phối của dữ liệu và là dữ liệu độc lập và đồng nhất (IID). Tuy nhiên, nếu dữ liệu là không dừng (nonstationary), chẳng hạn như tồn tại các xu hướng hoặc tính thời vụ, thì phương pháp này có thể nhận được nhiều kết quả dương tính giả và/hoặc âm tính giả. Ví dụ, một điểm có thể được coi là bất thường nếu không tính đến yếu tố mùa vụ (season) nhưng được coi là một điểm bình thường nếu xem xét thêm yếu tố mùa vụ. Do đó, trong kịch bản trực tuyến, việc không có dữ liệu khiến việc xác định điểm bất thường trở nên phức tạp hơn rất nhiều và vẫn là chủ đề nghiên cứu có tính thời sự.
 

Trong bài viết này, chúng tôi xem xét một quá trình ngẫu nhiên thời gian rời rạc và đề xuất một thuật toán phi tham số cải tiến từ thuật toán ngưỡng nhằm làm giảm tỷ lệ dương tính giả (dữ liệu mới bị coi là điểm bất thường do nằm ngoài ngưỡng cho phép nhưng đã được phản ánh bởi một số ít dữ liệu trong quá khứ có tính mùa vụ) và giảm tỷ lệ âm tính giả (dữ liệu mới được coi là bình thường do nằm trong ngưỡng cho phép nhưng không được phản ánh bởi dữ liệu trong quá khứ). Thuật toán của chúng tôi được chia thành hai bước. Bước thứ nhất sử dụng thuật toán ngưỡng để tiền phân loại điểm dữ liệu mới. Bước thứ hai sử dụng thuật toán phân cụm để xác thực nhãn của điểm dữ liệu mới. Bước xác thực này làm giảm khả năng xảy ra ngụy biện sinh thái (Ecological fallacy). Do đó, làm giảm tỷ lệ dương tính giả và âm tính giả. Các thí nghiệm được thực hiện trên hai bộ dữ liệu bao gồm một bộ dữ liệu tự sinh và một bộ dữ liệu thực mô tả các giao dịch bằng thẻ tín dụng của người dùng ở châu Âu. Kết quả thực nghiệm chỉ ra rằng, thuật toán đề xuất giúp giảm thiểu đáng kể số lượng dương tính giả và âm tính giả so với thuật toán ngưỡng. Mô hình và thuật toán đề xuất có thể được ứng dụng rộng rãi trong các hệ thống giám sát thông tin giúp các ngân hàng, tổ chức tài chính kịp thời phát hiện các cuộc tấn công hoặc gian lận trong sử dụng dịch vụ.
 

II. Phát biểu bài toán
 

Cho một quá trình ngẫu nhiên thời gian rời rạc đại diện bởi χ(t) trong đó t=t0,t1,…,tN và xj là một trong những quan sát (các quan sát tuần tự theo thời gian rời rạc được gọi chung là điểm dữ liệu) của quá trình x tại thời điểm tj. Các quan sát này có thể là sự kiện, số lượt đọc/ghi dữ liệu, phần trăm sử dụng tài nguyên, ảnh, video, hoặc bất kỳ đối tượng nào được thu thập theo thời gian. Đặt Sn-1={x0,x1,…,xn-1} là một mẫu bao gồm toàn bộ quan sát thu thập được của quá trình x tính đến thời điểm tn-1. Tại thời điểm tn, hệ thống giám sát dữ liệu trực tuyến tiếp nhận quan sát mới xn. Hệ thống phân tích dữ liệu cần dựa trên mẫu Sn-1 đã thu thập được để phân loại xn là điểm bình thường hay bất thường với thời gian thực thi thấp.
 

III. Phương pháp đề xuất
 

Thuật toán ngưỡng (RB) sử dụng tham số ngưỡng để kiểm tra một điểm dữ liệu mới là bình thường (nếu nằm trong khoảng cho phép) hay bất thường. Ngưỡng thường được sử dụng là [μ-3σ, μ+3σ], trong đó dữ liệu được giả định tuân theo phân phối chuẩn, μ là giá trị trung bình, σ là phương sai. Ngưỡng này dựa trên quy tắc thực nghiệm được mô tả như sau:
 

Cho X là quan sát từ biến ngẫu nhiên có phân phối chuẩn, μ là giá trị trung bình của phân phối và σ là độ lệch chuẩn của nó, xác suất (P) để các giá trị của X nằm trong các khoảng tương ứng là:
 

P(μ - 1σ ≤ X ≤ μ + 1σ) ≈ 68,27%
 

P(μ - 2σ ≤ X ≤ μ + 2σ) ≈ 95,45%
 

P(μ - 3σ ≤ X ≤ μ + 3σ) ≈ 99,73%
 

Trong lý thuyết xác suất, bất đẳng thức Chebyshev tổng quát hơn, chứng minh rằng tối thiểu chỉ 75% giá trị phải nằm trong hai độ lệch chuẩn của giá trị trung bình và 88,89% trong ba độ lệch chuẩn đối với các phân phối xác suất khác nhau, tức là áp dụng cho các phân phối xác suất nói chung chứ không chỉ dành cho phân phối chuẩn. Cụ thể là:
 

P(|X - μ| ≥ m.σ) ≤ 1/m2 
 

Tuy nhiên, một điểm dữ liệu mới có thể được phân loại là bình thường bởi thuật toán ngưỡng (thuộc khoảng [μ-3σ, μ+3σ]) nhưng nó thực sự có phân bố khác với các điểm dữ liệu trong lịch sử (âm tính giả), hoặc nó được phân loại là bất thường nhưng đã từng xảy ra có tính chu kỳ (dương tính giả). Ví dụ minh họa cho các trường hợp này được thể hiện trong Hình 2. 

Hình 2: Minh họa một số trường hợp thất bại của thuật toán ngưỡng


Trong bài viết này, chúng tôi đề xuất một thuật toán cải tiến từ thuật toán ngưỡng mới (đặt tên là CRB) bằng cách sử dụng bất đẳng thức Chebyshev để làm ngưỡng tiền phân loại và kết hợp thuật toán phân cụm để xác thực nhãn của điểm dữ liệu. Với mục tiêu làm giảm tỷ lệ dương tính giả và âm tính giả, thuật toán phân cụm được sử dụng để phân chia dữ liệu thành các cụm có tính đại diện và xem xét tính gắn kết giữa các quan sát trong cụm. Thuật toán k-means được sử dụng để phân cụm dữ liệu trong đó k ≥ m để đảm bảo bán kính lớn nhất của các cụm không vượt quá một phương sai σ. Một cụm có tính đại diện là cụm có số lượng quan sát tối thiểu để được coi là có sự tồn tại của yếu tố mùa vụ. Số lượng quan sát tối thiểu thường được xác định theo kinh nghiệm, một giá trị trong khoảng [3, 5] thường được sử dụng trong hầu hết các vấn đề. Mức độ gắn kết (d) của các quan sát trong cụm ci có tâm là oi được đo bởi trung bình của bình phương khoảng cách từ các quan sát tới tâm cụm:




Với sz(ci) là số lượng quan sát được phân vào cụm ci, ∀i= (1,k). Độ đo này có lợi thế về mặt thời gian tính toán do tử số đã được tính trong quá trình phân cụm bởi thuật toán k-means. Quá trình thực thi của thuật toán đề xuất được mô tả trực quan trong Hình 3. 
 

Hình 3: Thuật toán CRB phát hiện điểm dữ liệu bất thường trong kịch bản trực tuyến


Ở bước tiền phân loại, thuật toán RB được sử dụng để xác định phân loại của điểm dữ liệu mới. Ngưỡng được tính dựa trên tất cả các điểm dữ liệu lịch sử đã thu thập được (suy luận quần thể). Nếu điểm dữ liệu mới nằm trong ngưỡng cho phép, nhãn của điểm dữ liệu này được xác thực là bình thường nếu nó thuộc một cụm có tính đại diện. Bước xác nhận này làm giảm khả năng xảy ra âm tính giả. Nếu điểm dữ liệu mới nằm ngoài ngưỡng cho phép, nó chỉ thực sự là điểm bất thường khi thêm nó vào cụm gần nhất sẽ làm giảm mức độ gắn kết tối thiểu của các cụm đã có. Bước xác nhận này làm giảm khả năng xảy ra dương tính giả. Việc kết hợp thuật toán ngưỡng (đóng vai trò suy luận dựa trên quần thể) và thuật toán phân cụm (suy luận dựa trên cụm cá thể) giúp làm giảm nguy cơ xảy ra ngụy biện sinh thái.
 

IV. Thực nghiệm
 

1. Dữ liệu
 

Trong bài viết này, chúng tôi sử dụng 02 bộ dữ liệu để thử nghiệm được mô tả như sau:
 

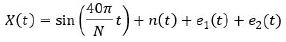
- Tập dữ liệu tự sinh (SD): Tái hiện từ Ma, Junshui và Perkins (2003) được tính theo công thức:


 

Trong đó, N=1200, n(t) là một nhiễu Gau với μ = 0, σ = 0,1

 

Với n1(t) là tuân theo phân phối chuẩn N(0, 0.5)


 

- Tập dữ liệu thực (RD): Chứa các giao dịch thực tế thực hiện bằng thẻ tín dụng của chủ thẻ châu Âu, thu thập bởi nhóm nghiên cứu Đại học Libre, Brussels, Bỉ (2015), trong đó có 492 gian lận được phát hiện trong tổng số 284.807 giao dịch. Các giao dịch đã được sắp xếp theo thứ tự thời gian giao dịch. Trong mô phỏng phát hiện giao dịch gian lận kịch bản trực tuyến, chúng tôi chỉ thực hiện trên 2.000 giao dịch đầu tiên để dễ dàng trình bày kết quả thí nghiệm.
 

2. Đánh giá hiệu quả của phương pháp đề xuất 
 

Chúng tôi thực hiện mô phỏng thuật toán phát hiện điểm bất thường trong kịch bản trực tuyến với 500 điểm dữ liệu đầu tiên được coi là dữ liệu lịch sử (dùng để xác định các thuộc tính của phân phối dữ liệu). Với mỗi điểm dữ liệu tiếp theo, chúng tôi sử dụng thuật toán đề xuất CRB để xác định phân loại là bình thường hay bất thường. Kết quả được so sánh với thuật toán RB thông qua các chỉ số:
 

- FN (âm tính giả): Số điểm có nhãn là bất thường nhưng được phân loại là bình thường.
 

- TN (âm tính thật): Số điểm có nhãn là bình thường và được phân loại là bình thường.
 

- FP (dương tính giả): Số điểm có nhãn là bình thường nhưng được phân loại là bất thường.
 

- TP (dương tính thật): Số điểm có nhãn là bất thường và được phân loại là bất thường.


 

Hình 4: Kết quả phát hiện điểm bất thường cho tập dữ liệu SD



Hình 5: Kết quả phát hiện điểm bất thường cho tập dữ liệu RD


Hình 4 và 5 trực quan hóa các điểm dữ liệu theo thời gian. Trong Hình 4, một số điểm dữ liệu có giá trị cao bất thường đều đã được đánh dấu là điểm bất thường. Điểm bất thường đầu tiên mặc dù có giá trị không quá cao so với các điểm trước đó nhưng nó làm xuất hiện cụm mới chưa từng được phản ánh trong dữ liệu lịch sử. Do đó, nó cũng được coi là bất thường. Điều này xảy ra tương tự trong Hình 5. Hơn nữa, điểm bất thường đầu tiên trong Hình 5 có giá trị thấp hơn so với các điểm dữ liệu trước đó và cũng tạo cụm mới nên được xem như một điểm bất thường.
 

Bảng 1: Chỉ số đánh giá hiệu quả thuật toán


So với thuật toán ngưỡng RB, thuật toán CRB thể hiện sự hiệu quả thông qua chỉ số FN, FP và F1score. Dựa vào Bảng 1 ta thấy, thuật toán CRB thu được FN và FP đều thấp hơn hoặc bằng so với thuật toán RB. Tức là, thuật toán CRB giúp làm giảm tỷ lệ âm tính giả và dương tính giả so với thuật toán RB. Hơn nữa, do tính chất hiếm của các điểm bất thường nên chúng tôi sử dụng thêm chỉ số F1score để đánh giá hiệu quả giữa các thuật toán. Bảng 1 cũng chỉ ra thuật toán CRB có chỉ số F1score cao hơn trên cả hai bộ dữ liệu. Chúng tôi lưu ý rằng chỉ số F1score không phản ánh độ chính xác của phân loại so với nhãn sẵn có trong dữ liệu do định nghĩa điểm bất thường là khác nhau. Do đó, nhìn chung, thuật toán đề xuất của chúng tôi đem lại kết quả tốt hơn so với thuật toán ngưỡng khi có cùng định nghĩa điểm bất thường trên hai bộ dữ liệu này.
 

V. Kết luận
 

Để góp phần phát triển các kỹ thuật giám sát và đảm bảo an toàn thông tin trong lĩnh vực tài chính, ngân hàng, chúng tôi đã xem xét bài toán phát hiện điểm dữ liệu bất thường trực tuyến để kịp thời phát hiện thông tin đến từ các hoạt động phá hoại, gian lận và đưa ra cảnh báo. Chúng tôi đã đề xuất một thuật toán phát hiện bất thường dựa trên dữ liệu, được cải tiến từ thuật toán ngưỡng nhằm làm giảm tỷ lệ phân loại sai. Kết quả thực nghiệm trên cả bộ dữ liệu thực và tự sinh đã chỉ ra tính hiệu quả và khả năng ứng dụng thuật toán cho các bài toán thực tế. Đặc biệt, mô hình và thuật toán đề xuất có thể áp dụng rộng rãi cho các bài toán phát hiện bất thường trong lĩnh vực tài chính, ngân hàng có khối lượng giao dịch và thông tin cần xử lý hằng ngày là rất lớn, đòi hỏi tính chính xác cao và trả kết quả nhanh chóng. Với mục tiêu nâng cao an toàn hệ thống, các tổ chức tài chính, ngân hàng có thể áp dụng mô hình và thuật toán đề xuất để phát triển hệ thống giám sát và cảnh báo khi có các giao dịch hoặc hoạt động trên cơ sở dữ liệu bất thường.


Tài liệu tham khảo:
 

1. Dasgupta, Dipanker, and Stephanie, Forrest, Novelty Detection in Time Series Data Using Ideas from Immunology, In Proceedings of the 5th International Conference on Intelligent Systems, Reno, Nevada, June 19-21, 1996.

2. Ypma, Alexander, and Rober P. Duin, Novelty Detection Using Self-Organizing Maps, in Progress in Connectionist Based Information Systems, pp 1322-1325, London: Springer, 1997.

3. Keogh, E., S Lonardi, and W Chiu, Finding Surprising Patterns in a Time Series Database In Linear Time and Space, In the 8th ACM SIGKDD International Conference on Knowledge Discovery and Data Mining, pp 550-556, Edmonton, Alberta, Canada, July 23 - 26, 2002.

4. Marco A.F. Pimentel, David A. Clifton, Lei Clifton, Lionel Tarassenko, A review of novelty detection, Signal Processing 99, 215-249, 2014.

5. Ma, Junshui, and Simon Perkins, Online novelty detection on temporal sequences, Proceedings of the ninth ACM SIGKDD international conference on Knowledge discovery and data mining. ACM, 2003.

6. Kozma, R., M. Kitamura, M. Sakuma, and Y. Yokoyama, Anomaly Detection by Neural Network Models and Statistical Time Series Analysis, in Proceedings of IEEE International Conference on Neural Networks, Orlando, Florida, June 27-29, 1994.  

7. Fabrizio Angiulli, Fabio Fassetti, and Luigi Palopoli, Detecting outlying properties of exceptional objects. ACM Transactions on Database Systems 34, 1, 1-62, 2009.

8. Samet Akcay, Amir Atapour-Abarghouei, and Toby P Breckon, GANomaly: Semi-supervised anomaly detection via adversarial training, In ACCV. Springer, 622 - 637, 2018.

9. Fabrizio Angiulli, Fabio Fassetti, Giuseppe Manco, and Luigi Palopoli, Outlying property detection with numerical attributes. Data Mining and Knowledge Discovery 31, 1, 134 - 163, 2017.

10. Guilherme O Campos, Arthur Zimek, Jorg Sander, Ricardo JGB Campello, Barbora Micenková, Erich Schubert, Ira Assent, and Michael E Houle, On the evaluation of unsupervised outlier detection: Measures, datasets, and an empirical study, Data Mining and Knowledge Discovery 30, 4 (2016), 891 - 927, 2017.

11. Azzedine Boukerche, Lining Zheng, and Omar Alfandi, Outlier Detection: Methods, Models and Classifications, Comput. Surveys, 2020.

12. Campbell, Colin, Kristin P. Bennett, A Linear Programming Approach to Novelty Detection, in Advances in Neural Information Processing Systems, vol 14, 2001.

13. Dan Xu, Elisa Ricci, Yan Yan, Jingkuan Song, and Nicu Sebe, Learning Deep Representations of Appearance and Motion for Anomalous Event Detection. In BMVC, 2015

14. Lukas Ruff, Robert A Vandermeulen, Nico Gornitz, Alexander Binder, Emmanuel Moller, Klaus-Robert Moller, and Marius Kloft, Deep semi-supervised anomaly detection, ICLR, 2020.

15. Radu Tudor Ionescu, Fahad Shahbaz Khan, Mariana-Iuliana Georgescu, and Ling Shao, Object-centric auto-encoders and dummy anomalies for abnormal event detection in video, In CVPR. 7842 - 7851, 2020.

16. Guansong Pang, Chunhua Shen, Longbing Cao, and Anton Van Den Hengel, Deep Learning for Anomaly Detection: A Review, ACM Comput. Surv. 54, 2, Article 38, 38 pages, 2022.

17. Nguyen, H.T. and Thai, N.H, Temporal and spatial outlier detection in wireless sensor networks. ETRI Journal, 41: 437-451, 2019.

18. Spinosa, Eduardo and de Carvalho, Andre and Gama, João., Novelty detection with application to data streams, Intell. Data Anal. 13. 405-422, 2009.

19. Ma, Junshui & Perkins, Simon, Online novelty detection on temporal sequences. Proceedings of the ACM SIGKDD International Conference on Knowledge Discovery and Data Mining, 613-618, 2003.

20. Dal Pozzolo, Andrea & Caelen, Olivier & Johnson, Reid & Bontempi, Gianluca, Calibrating Probability with Undersampling for Unbalanced Classification, IEEE Symposium Series on Computational Intelligence, 2015.


ThS. Nguyễn Văn Sơn, ThS. Nguyễn Văn Tân
Học viện Kỹ thuật Mật mã

 


  • aA
  • Các chuyên mục:
  • Thông tin về Fintech
  • Fintech - Nghiên cứu trao đổi
  • Tạp chí Ngân hàng
CÁC TIN KHÁC
Triển vọng Fintech toàn cầu: Từ tăng trưởng nhanh sang tăng trưởng bền vững
15/07/2025
Chuyển đổi số ở các ngân hàng thương mại Việt Nam: Thành tựu, thách thức và một số kiến nghị hoàn thiện
02/07/2025
Hoàn thiện khung khổ pháp lý về Fintech - Góp phần cho công cuộc chuyển đổi số quốc gia
27/06/2025
Tăng cường ổn định tài chính nâng cao khả năng chống chịu trong bối cảnh kinh tế hiện nay
03/06/2025
Lộ trình giảm lãi suất trong năm 2025 được mở ra từ Fed
02/06/2025
ECB cảnh báo nguy cơ suy giảm niềm tin ngân hàng từ tài sản mã hóa
05/06/2025
ECB điều chỉnh chính sách trong bối cảnh lạm phát hạ nhiệt
06/06/2025
Thụy Sĩ: Chỉ số giá tiêu dùng vào vùng giảm phát, yếu tố thúc đẩy nới lỏng tiền tệ
05/06/2025
Hạn hán - Thách thức mới cho ổn định tài chính Khu vực đồng Euro
02/06/2025
Liệu ECB có cắt giảm lãi suất vào tháng 6/2025?
02/06/2025
Đang hiển thị 1 đến 10 của 2252
  • 1
  • 2
  • 3
  • 226
Giới thiệu NHNN
  • Sơ lược quá trình thành lập và phát triển
  • Chức năng nhiệm vụ
  • Ban lãnh đạo đương nhiệm
  • Lãnh đạo NHNN qua các thời kỳ
CPI
Lãi suất
Dự trữ bắt buộc
Hoạt động thị trường tiền tệ
  • Nghiệp vụ thị trường mở
  • Thông tin chào bán tín phiếu NHNN
  • Đấu thầu Tín phiếu kho bạc nhà nước
    • Thông báo đấu thầu
    • Kết quả đấu thầu
  • Giấy mời tham gia đấu thầu vàng
Cải cách hành chính
  • Tin tức CCHC
  • Bản tin CCHC nội bộ
  • Văn bản CCHC
  • Phiếu lấy ý kiến giải quyết TTHC
  • Bộ câu hỏi về thủ tục hành chính NHNN
  • Danh mục điều kiện kinh doanh
  • Danh mục báo cáo định kỳ
  • HTQLCL theo tiêu chuẩn ISO
  • Đào tạo ISO
Dịch vụ công trực tuyến
Hoạt Động Khác
  • Đầu tư, đấu thầu
    • Thông tin đấu thầu
    • Các dự án đang chuẩn bị đầu tư
    • Các dự án đang triển khai
    • Các dự án đã hoàn tất
  • Tài chính vi mô tại Việt Nam
  • Ổn định tài chính
    • Giới thiệu
      • Ổn định tài chính và vai trò của ổn định tài chính
      • Vai trò của NHTW đối với ổn định tài chính
    • Báo cáo chuyên đề về ổn định tài chính
  • Hợp tác quốc tế
    • Quan hệ với ADB
    • Quan hệ với IMF
    • Quan hệ với IBEC - IIB
    • Quan hệ với WB
    • Quan hệ với AIIB
    • Quan hệ với BIS
    • Quan hệ song phương
      • Tổng quan về hoạt động hợp tác song phương
      • Khu vực châu Á
      • Khu vực châu Âu
      • Khu vực châu Mỹ
      • Khu vực châu Phi
      • Khu vực châu Đại Dương
    • Quan hệ đa phương
      • Tổng quan về hoạt động hợp tác đa phương
      • Giới thiệu tổ chức APEC
      • Giới thiệu tổ chức ASEM
      • Giới thiệu tổ chức WTO
      • Giới thiệu tổ chức ASEAN
      • Giới thiệu SEACEN
  • Công nghệ thông tin
    • Chiến lược phát triển và ứng dụng CNTT trong hoạt động ngân hàng
    • Hỗ trợ kỹ thuật
    • An toàn thông tin
      • Danh sách đầu mối ứng cứu sự cố ANTT
      • Hoạt động mạng lưới ứng cứu sự cố ANTT
      • Văn bản chính sách ANTT
      • Tài liệu tuyên truyền nâng cao nhận thức ANTT
  • Hoạt động khoa học công nghệ
    • Các chương trình đề tài
    • Kết quả các chương trình, đề tài
    • Hợp tác nghiên cứu
    • Dịch vụ khoa học công nghệ
    • Chiến lược phát triển ngành ngân hàng
  • Tổ chức cán bộ
    • Tuyển dụng
  • Thi đua khen thưởng
    • Văn bản về thi đua khen thưởng
    • Công tác thi đua khen thưởng
    • Lấy ý kiến nhân dân đối với tập thể, cá nhân được đề nghị khen thưởng cấp nhà nước
  • Hệ thống báo cáo phục vụ điều hành CSTT quốc gia
  • Hoạt động Tổ chức tín dụng
  • Hoạt động đoàn thể
  • Tài chính kế toán
    • Chế độ kế toán của NHNN
      • Văn bản quy phạm pháp luật
      • Văn bản hướng dẫn
    • Quản lý tài chính, tài sản của NHNN
      • Văn bản
      • Tình hình triển khai
    • Chế độ kế toán của TCTD
      • Văn bản quy phạm pháp luật
      • Văn bản hướng dẫn
    • Quản lý đầu tư xây dựng cơ bản
Cơ chế chính sách hỗ trợ doanh nghiệp
  • Các chính sách của NHNN
  • Các chính sách của TCTD
  • Giải đáp chính sách
  • Hỗ trợ pháp lý cho DNVVN
NHNN với Quốc hội và cử tri
  • Thống đốc NHNN trả lời đại biểu Quốc hội và cử tri
  • Thống đốc NHNN trả lời chất vấn của đại biểu Quốc hội
  • Thống đốc trả lời ý kiến, kiến nghị của cử tri
    • Thống đốc trả lời kiến nghị cử tri theo tỉnh, thành phố
    • Thống đốc trả lời kiến nghị cử tri theo nhóm vấn đề
  • Hoạt động về công tác Quốc hội
  • Báo cáo, giải trình
    • Báo cáo của NHNN
    • Giải trình của NHNN
  • Tài liệu tham khảo
    • Nghị quyết của Quốc hội
    • Báo cáo tại các Kỳ họp của Quốc hội
    • Nghị quyết của Ủy ban Thường vụ Quốc hội
  • Liên hệ
Công bố thông tin của Doanh nghiệp nhà nước thuộc ngành Ngân hàng
  • Danh sách Doanh nghiệp do NHNN quản lý và phần vốn góp tại Doanh nghiệp
  • Thông tin định kỳ
    • Chiến lược phát triển của doanh nghiệp
    • Kế hoạch sản xuất, kinh doanh và đầu tư phát triển 05 năm của doanh nghiệp
    • Kế hoạch sản xuất, kinh doanh và đầu tư phát triển hằng năm của doanh nghiệp
    • Báo cáo đánh giá về kết quả thực hiện kế hoạch sản xuất, kinh doanh hằng năm và 03 năm gần nhất tính đến năm báo cáo
    • Báo cáo kết quả thực hiện các nhiệm vụ công ích và trách nhiệm xã hội khác (nếu có)
    • Báo cáo thực trạng quản trị và cơ cấu tổ chức của doanh nghiệp
    • Báo cáo tình hình đầu tư, quản lý, sử dụng vốn nhà nước tại doanh nghiệp
    • Quyết định giao chỉ tiêu đánh giá hằng năm
    • Kế hoạch giám sát các doanh nghiệp
    • Báo cáo tài chính 06 tháng và báo cáo tài chính năm của doanh nghiệp
    • Báo cáo chế độ tiền lương, tiền thưởng của doanh nghiệp
    • Báo cáo tình hình thực hiện sắp xếp, đổi mới doanh nghiệp hằng năm
  • Thông tin bất thường
Hệ thống các TCTD
  • Ngân hàng
    • Ngân hàng thương mại
      • NHTM Nhà nước
      • NHTM Cổ phần
      • Ngân hàng 100% vốn nước ngoài
      • Ngân hàng liên doanh
    • Ngân hàng Chính sách xã hội
    • Ngân hàng Hợp tác xã
  • TCTD phi ngân hàng
    • Công ty tài chính
    • Công ty cho thuê tài chính
    • TCTD phi ngân hàng khác
  • Tổ chức tài chính vi mô
  • Quỹ tín dụng nhân dân
  • Chi nhánh ngân hàng nước ngoài
  • Văn phòng đại diện
Chương trình, chính sách tín dụng trọng điểm
  • Cơ chế, chính sách tín dụng, các chương trình, gói tín dụng hỗ trợ doanh nghiệp nhỏ và vừa
    • Văn bản chỉ đạo, điều hành
    • Kết quả triển khai
  • Chương trình khác
    • Kết quả triển khai
    • Văn bản chỉ đạo, điều hành
  • Chính sách tín dụng phục vụ phát triển nông nghiệp, nông thôn
    • Văn bản chỉ đạo, điều hành
    • Kết quả triển khai
Phổ biến kiến thức
  • Danh mục thuật ngữ
  • Các nội dung phổ biến kiến thức cộng đồng
    • Tiền Việt Nam - những điều bạn nên biết
      • Phát hành và điều hòa tiền mặt
      • Tiền không đủ tiêu chuẩn lưu thông
      • Tiền đình chỉ lưu hành
      • Phân biệt tiền thật, tiền giả
      • Bảo vệ tiền Việt Nam
    • Các hoạt động thanh toán qua ngân hàng
      • Một số thông tin về thẻ ngân hàng
      • Những điều cần biết khi giao dịch qua ngân hàng điện tử
Tiếp cận thông tin
  • Danh mục thông tin công khai
  • Thông tin về đầu mối cung cấp thông tin cho công dân
  • Địa chỉ tiếp nhận yêu cầu cung cấp thông tin qua mạng điện tử
  • Các mẫu phiếu sử dụng trong cung cấp thông tin
  • Hướng dẫn yêu cầu cung cấp thông tin
Thanh Tìm kiếm
TIN VIDEO
Dấu ấn ngành Ngân hàng trong Triển lãm thành tựu đất nước 80 năm hành trình Độc lập – Tự do – Hạnh phúc
Dấu ấn ngành Ngân hàng trong Triển lãm thành tựu đất nước 80 năm hành trình Độc lập – Tự do – Hạnh phúc
TIN ẢNH
Ấn tượng ngành Ngân hàng tại Triển lãm thành tựu Đất nước "80 năm Hành trình Độc lập - Tự do - Hạnh phúc"
Ấn tượng ngành Ngân hàng tại Triển lãm thành tựu Đất nước "80 năm Hành trình Độc lập - Tự do - Hạnh phúc"
TIN ẢNH
Ấn tượng ngành Ngân hàng tại Triển lãm thành tựu Đất nước "80 năm Hành trình Độc lập - Tự do - Hạnh phúc"
Ấn tượng ngành Ngân hàng tại Triển lãm thành tựu Đất nước "80 năm Hành trình Độc lập - Tự do - Hạnh phúc"
Icon

Danh bạ liên hệ

Icon

Phản ánh kiến nghị

Icon

Đường dây nóng

Calendar Icon LỊCH LÀM VIỆC CỦA BAN LÃNH ĐẠO Microphone Icon CÁC BÀI PHÁT BIỂU Chart Icon CPI Percentage Icon LÃI SUẤT Money Icon DỰ TRỮ BẮT BUỘC Graduation Icon GIÁO DỤC TÀI CHÍNH Newspaper Icon THÔNG CÁO BÁO CHÍ ẤN PHẨM PHÁT HÀNH
Ngân hàng
ĐẠI HỘI ĐẢNG CÁC CẤP NHIỆM KỲ 2025-2030 Chuyển đổi số
Danh Bạ Liên Hệ Phản Ánh Kiến Nghị Đường Dây Nóng
© cổng thông tin điện tử ngân hàng nhà nước việt nam
Địa chỉ: 49 Lý Thái Tổ - Hoàn Kiếm - Hà Nội
Thường trực Ban biên tập: (84 - 243) 266.9435
Email: thuongtrucweb@sbv.gov.vn rss
NCSC Certification
Số điện thoại tổng đài Ngân hàng Nhà nước: (84 - 243) 936.6306
Đầu mối tiếp nhận thông tin về sự cố an toàn thông tin: số điện thoại: (+84)84.859.5983, email: antt@sbv.gov.vn
IPv6 Ready
Ngân hàng Nhà nước Việt Nam

Digital Bankingtimes

logo-tinhvan
logo-tinhvan
logo-tinhvan
logo-tinhvan
Cổng thông tin điện tử NHNN
Thời báo Ngân Hàng
Tạp chí Ngân hàng

Digital Bankingtimes

Digital Banking Times Logos