Skip to Main Content
Lỗi

Cổng Thông Tin Điện Tử

Ngân Hàng Nhà Nước Việt Nam

|
  • Tin tức - sự kiện
  • Chính sách tiền tệ
    • Định hướng điều hành CSTT và hoạt động ngân hàng trong năm
    • Thẩm quyền quyết định CSTT quốc gia và các công cụ thực hiện
  • Thanh toán & ngân quỹ
    • Nhiệm vụ của NHNN trong hoạt động thanh toán
    • Các hệ thống thanh toán trong nền kinh tế
      • Hệ thống thanh toán điện tử liên ngân hàng
      • Các hệ thống thanh toán khác
    • Giám sát hệ thống thanh toán
    • Thanh toán không dùng tiền mặt
    • Hệ thống mã tổ chức phát hành thẻ
    • Biểu phí dịch vụ thanh toán qua NHNN
    • Hoạt động ngân quỹ
    • Danh mục các giao dịch bắt buộc phải thanh toán qua ngân hàng
  • Phát hành tiền
    • Đồng tiền Việt Nam
    • Tiền thật, tiền giả
    • Những hành vi bị nghiệm cấm và một số quy định về xử phạt liên quan đến phòng, chống tiền giả và bảo vệ tiền Việt Nam
  • QUẢN LÝ NGOẠI HỐI
    VÀ KINH DOANH VÀNG
  • Dữ liệu thống kê
    • Cán cân thanh toán quốc tế
    • Tổng phương tiện thanh toán
      • Tổng phương tiện thanh toán và Tiền gửi của khách hàng tại TCTD
      • Tiền mặt lưu thông trên tổng phương tiện thanh toán
    • Hoạt động thanh toán
      • Giao dịch của hệ thống thanh toán quốc gia
      • Giao dịch thanh toán nội địa theo các PTTT
      • Giao dịch thanh toán nội địa qua Internet và Mobile Bank
      • Giao dịch qua ATM,POS/EFTPOS/EDC
      • Số lượng thẻ ngân hàng
      • Tài khoản tiền gửi thanh toán của cá nhân
      • Các tổ chức CUDVTT không phải là TCTD
    • Dư nợ tín dụng đối với nền kinh tế
    • Hoạt động của hệ thống các TCTD
      • Thống kê một số chỉ tiêu cơ bản
      • Tỷ lệ dư nợ cho vay so với tổng tiền gửi
      • Tỷ lệ nợ xấu trong tổng dư nợ tín dụng
    • Điều tra thống kê
      • Hướng dẫn
      • Phiếu điều tra
      • Kết quả điều tra
      • Điều tra trực tuyến
    • Các văn bản liên quan đến quy định báo cáo thống kê
  • Tin tức - Sự kiện
  • Thông cáo báo chí
    • Thông tin về hoạt động ngân hàng trong tuần
    • Thông cáo báo chí khác
  • Tỷ giá trung tâm
  • Tỷ giá tham khảo tại giữa đồng Việt Nam và các loại ngoại tệ tại Cục Quản lý ngoại hối
  • Tỷ giá tính chéo của Đồng Việt Nam với một số ngoại tệ để xác định giá tính thuế
  • Lãi suất NHNN quy định
  • Lãi suất thị trường liên ngân hàng
  • Dữ liệu thống kê
    • Cán cân thanh toán quốc tế
    • Tổng phương tiện thanh toán
      • Tổng phương tiện thanh toán và Tiền gửi của khách hàng tại TCTD
      • Tiền mặt lưu thông trên tổng phương tiện thanh toán
    • Hoạt động thanh toán
      • Giao dịch của hệ thống thanh toán quốc gia
      • Giao dịch thanh toán nội địa theo các PTTT
      • Giao dịch qua ATM/POS/EFTPOS/EDC
      • Số lượng thẻ ngân hàng
      • Tài khoản tiền gửi thanh toán của cá nhân
      • Các tổ chức CUDVTT không phải là TCTD
    • Dư nợ tín dụng đối với nền kinh tế
    • Hoạt động của hệ thống các TCTD
      • Thống kê một số chi tiêu cơ bản
      • Tỷ lệ dư nợ cho vay so với tổng tiền gửi
      • Tỷ lệ nợ xấu trong tổng dư nợ tín dụng
    • Điều tra thống kê
      • Hướng dẫn
      • Phiếu điều tra
      • Điều tra trực tuyến
      • Kết quả điều tra
    • Các văn bản liên quan đến quy định báo cáo thống kê
  • CPI
  • Văn bản quy phạm pháp luật
  • Chính sách tiền tệ
    • Định hướng điều hành CSTT và hoạt động ngân hàng trong năm
    • Thẩm quyền quyết định CSTT quốc gia và các công cụ thực hiện
  • Thanh toán & ngân quỹ
    • Nhiệm vụ của NHNN trong hoạt động thanh toán
    • Các hệ thống thanh toán trong nền kinh tế
      • Hệ thống thanh toán điện tử liên ngân hàng
      • Các hệ thống thanh toán khác
    • Giám sát hệ thống thanh toán
      • Thanh toán không dùng tiền mặt
    • Hệ thống mã tổ chức phát hành thẻ
    • Biểu phí dịch vụ thanh toán qua NHNN
    • Hoạt động ngân quỹ
    • Danh mục các giao dịch bắt buộc phải thanh toán qua ngân hàng
  • Phát hành tiền
    • Đồng tiền Việt Nam
    • Tiền thật, tiền giả
    • Những hành vi bị nghiệm cấm và một số quy định về xử phạt liên quan đến phòng, chống tiền giả và bảo vệ tiền Việt Nam
  • Quản lý hoạt động ngoại hối và hoạt động kinh doanh vàng
  • Cải cách hành chính
    • Tin tức CCHC
    • Bản tin CCHC nội bộ
    • Văn bản cải cách hành chính
    • Phiếu lấy ý kiến giải quyết TTHC
    • Bộ câu hỏi về thủ tục hành chính NHNN
    • Danh mục điều kiện kinh doanh
    • Danh mục báo cáo định kỳ
    • HTQLCL theo tiêu chuẩn ISO
    • Đào tạo ISO
  • Diễn đàn NHNN
    • Hỏi đáp
    • Lấy ý kiến dự thảo VBQPPL
  • Giới thiệu NHNN
    • Sơ lược quá trình thành lập và phát triển
    • Chức năng nhiệm vụ
    • Ban lãnh đạo đương nhiệm
    • Lãnh đạo NHNN qua các thời kỳ
Trang chủ
  • Tin tức - Sự kiện
  • Thông cáo báo chí
    • Thông tin về hoạt động ngân hàng trong tuần
    • Thông cáo báo chí khác
  • Tỷ giá trung tâm
  • Tỷ giá tham khảo tại giữa đồng Việt Nam và các loại ngoại tệ tại Cục Quản lý ngoại hối
  • Tỷ giá tính chéo của Đồng Việt Nam với một số ngoại tệ để xác định giá tính thuế
  • Lãi suất NHNN quy định
  • Lãi suất thị trường liên ngân hàng
  • Dữ liệu thống kê
    • Cán cân thanh toán quốc tế
    • Tổng phương tiện thanh toán
      • Tổng phương tiện thanh toán và Tiền gửi của khách hàng tại TCTD
      • Tiền mặt lưu thông trên tổng phương tiện thanh toán
    • Hoạt động thanh toán
      • Giao dịch của hệ thống thanh toán quốc gia
      • Giao dịch thanh toán nội địa theo các PTTT
      • Giao dịch qua ATM/POS/EFTPOS/EDC
      • Số lượng thẻ ngân hàng
      • Tài khoản tiền gửi thanh toán của cá nhân
      • Các tổ chức CUDVTT không phải là TCTD
    • Dư nợ tín dụng đối với nền kinh tế
    • Hoạt động của hệ thống các TCTD
      • Thống kê một số chi tiêu cơ bản
      • Tỷ lệ dư nợ cho vay so với tổng tiền gửi
      • Tỷ lệ nợ xấu trong tổng dư nợ tín dụng
    • Điều tra thống kê
      • Hướng dẫn
      • Phiếu điều tra
      • Điều tra trực tuyến
      • Kết quả điều tra
    • Các văn bản liên quan đến quy định báo cáo thống kê
  • CPI
  • Văn bản quy phạm pháp luật
  • Chính sách tiền tệ
    • Định hướng điều hành CSTT và hoạt động ngân hàng trong năm
    • Thẩm quyền quyết định CSTT quốc gia và các công cụ thực hiện
  • Thanh toán & ngân quỹ
    • Nhiệm vụ của NHNN trong hoạt động thanh toán
    • Các hệ thống thanh toán trong nền kinh tế
      • Hệ thống thanh toán điện tử liên ngân hàng
      • Các hệ thống thanh toán khác
    • Giám sát hệ thống thanh toán
      • Thanh toán không dùng tiền mặt
    • Hệ thống mã tổ chức phát hành thẻ
    • Biểu phí dịch vụ thanh toán qua NHNN
    • Hoạt động ngân quỹ
    • Danh mục các giao dịch bắt buộc phải thanh toán qua ngân hàng
  • Phát hành tiền
    • Đồng tiền Việt Nam
    • Tiền thật, tiền giả
    • Những hành vi bị nghiệm cấm và một số quy định về xử phạt liên quan đến phòng, chống tiền giả và bảo vệ tiền Việt Nam
  • Quản lý hoạt động ngoại hối và hoạt động kinh doanh vàng
  • Cải cách hành chính
    • Tin tức CCHC
    • Bản tin CCHC nội bộ
    • Văn bản cải cách hành chính
    • Phiếu lấy ý kiến giải quyết TTHC
    • Bộ câu hỏi về thủ tục hành chính NHNN
    • Danh mục điều kiện kinh doanh
    • Danh mục báo cáo định kỳ
    • HTQLCL theo tiêu chuẩn ISO
    • Đào tạo ISO
  • Diễn đàn NHNN
    • Hỏi đáp
    • Lấy ý kiến dự thảo VBQPPL
  • Giới thiệu NHNN
    • Sơ lược quá trình thành lập và phát triển
    • Chức năng nhiệm vụ
    • Ban lãnh đạo đương nhiệm
    • Lãnh đạo NHNN qua các thời kỳ
  • Fintech - Nghiên cứu trao đổi
  • Tạp chí Ngân hàng

Truyền thông chính sách của các ngân hàng trung ương trong thời kỳ lạm phát cao

11/11/2022 23:31:00
0:00
/
0:00
Giọng Nam
  • Giọng Nam
  • Giọng Nữ

Hoạt động truyền thông của ngân hàng trung ương (NHTW) với công chúng có thể là phương thức hiệu quả để giảm kỳ vọng lạm phát trong thời kỳ lạm phát tăng đột biến…

Tóm tắt: Hoạt động truyền thông của ngân hàng trung ương (NHTW) với công chúng có thể là phương thức hiệu quả để giảm kỳ vọng lạm phát trong thời kỳ lạm phát tăng đột biến. Đồng thời, việc giải thích dự báo của các chuyên gia NHTW ảnh hưởng đến kỳ vọng nhiều hơn là chỉ cung cấp các số liệu dự báo. Bài viết giới thiệu nghiên cứu của GS. Mathias Hoffmann, GS. Emanuel Moench và các cộng sự (2022) về tác động của truyền thông chính sách NHTW trong việc giảm lạm phát kỳ vọng của hộ gia đình trong thời kỳ lạm phát cao.
 

Từ khóa: Truyền thông chính sách, lạm phát kỳ vọng, ngân hàng trung ương.

 

CENTRAL BANK POLICY COMMUNICATION DURING PERIODS OF HIGH INFLATION

 

Abstract: Central bank communication with the public can be an effective way to reduce inflation expectations during periods of high inflation. At the same time, the interpretation of forecasts by central bankers affects inflation expectations more than simply providing forecast figures. The article introduces the research of Prof. Mathias Hoffmann, Prof. Emanuel Moench et al (2022) on the impact of policy communication by central banks in reducing expected inflation of households during periods of high inflation.
 

Keywords: Policy communication, inflation expectations, central bank.
 

1. Đặt vấn đề và phương pháp nghiên cứu
 

Do giá tiêu dùng tăng và tình trạng thiếu cung ngày càng trầm trọng, NHTW châu Âu (ECB) đã nâng dự báo lạm phát ở khu vực đồng Euro hai lần trong năm nay. Đặc biệt, dự báo lạm phát cho năm 2022 hiện tại đã được nâng lên. Nếu như vào tháng 3/2022, dự báo lạm phát tăng lên 5,1% so với mức dự báo 3,2% đưa ra ​​vào tháng 12/2021, đến tháng 6/2022 mức dự báo lạm phát tăng lên 6,8%. Nhiều nhà nghiên cứu cũng thừa nhận rằng việc giảm lạm phát có thể kéo dài hơn.  Tháng 3/2022, ECB dự báo lạm phát năm 2023 ở khu vực đồng Euro nâng lên 2,1% từ mức dự báo 1,8% được tổ chức này đưa ra trong tháng 12/2021 và vào tháng 6/2022, con số dự báo tăng lên 3,5%. Tuy nhiên, đại diện của Eurosystem (ECB và NHTW của các nước thành viên khu vực đồng Euro) vẫn kỳ vọng mức lạm phát sẽ tiệm cận mục tiêu của ECB là 2% trong trung hạn. Dự báo năm 2024, mặc dù đã được điều chỉnh, gần với giá trị này - vào tháng 3/2022, mức dự báo được tăng lên 1,9% từ 1,8% được đưa ra trong tháng 12/2021 và đến tháng 6/2022 mức lạm phát được dự báo tăng lên 2,1%.
 

Kể từ năm 2021, kỳ vọng lạm phát của các hộ gia đình Đức cũng đã tăng lên đáng kể. Từ tháng 01/2021 đến tháng 02/2022, giá trị trung bình của lạm phát dự kiến ​​trong một năm tăng đều đặn từ 2% lên 5% và vào tháng 6/2022, con số này đã tăng lên 8% (Biểu đồ 1).
 

Biểu đồ 1: Lạm phát kỳ vọng của hộ gia đình trong 12 tháng tới


Kỳ vọng lạm phát trong 5 và 10 năm tới cũng đã tăng lên đáng kể, mặc dù chúng vẫn ở mức thấp hơn - lần lượt là 5% và 4% (Biểu đồ 2 và 3).
 

Biểu đồ 2: Lạm phát kỳ vọng của hộ gia đình trong 5 năm tới



Biểu đồ 3: Lạm phát kỳ vọng của hộ gia đình trong 10 năm tới


Nghiên cứu của GS. Mathias Hoffmann, GS. Emanuel Moench và các cộng sự (2022) đã phân tích hai khía cạnh hình thành các kỳ vọng lạm phát của hộ gia đình. Thứ nhất, liệu các hộ gia đình coi tỉ lệ lạm phát cao hiện nay là tạm thời hay vĩnh viễn. Thứ hai, các dự báo lạm phát của ECB có thực sự làm giảm kỳ vọng lạm phát của hộ gia đình hay không.
 

Phân tích khía cạnh đầu tiên dựa trên câu trả lời của các đáp viên người Đức đối với các câu hỏi tiêu chuẩn và các câu hỏi bổ sung trong cuộc khảo sát trực tuyến hộ gia đình ở Bundesbank vào tháng 3/2022 (Bundesbank Online Panel Households, BOP-HH, xem hộp). Nghiên cứu đã nhận được khoảng 5.000 câu trả lời về tỷ lệ lạm phát trong tương lai - trong 12 tháng (ngắn hạn), trong 2 - 3 năm (trung hạn) và trong 5 - 10 năm (dài hạn).
 

Để phân tích khía cạnh thứ hai, nghiên cứu đã tiến hành một cuộc khảo sát trong khuôn khổ BOP-HH dưới dạng một thử nghiệm đối chứng ngẫu nhiên1. Nhờ vậy, kết quả của cuộc khảo sát cho phép xem xét đường đi của lạm phát mà các hộ gia đình mong đợi và nó bị ảnh hưởng như thế nào bởi hoạt động truyền thông chính sách của NHTW.

 

 

Khảo sát hộ gia đình Đức của Bundesbank
 

Kể từ năm 2019, Bundesbank đã theo dõi kỳ vọng lạm phát của các hộ gia đình bằng cách thực hiện các cuộc khảo sát trực tuyến. Kể từ tháng 4/2020, định kỳ thực hiện là một lần/tháng, với 2.500 đến 5.000 người tham gia vào mỗi đợt. Những đáp viên được yêu cầu ước tính các động lực trong tương lai của lạm phát, đưa ra dự báo về chi phí bất động sản nhà ở và lãi suất ở Đức, trong mỗi đợt khảo sát, cũng có các câu hỏi về các khoản chi đã được lập và đã lên kế hoạch. Ngoài các mục tiêu chuẩn trong bảng hỏi, đáp viên có thể trả lời các câu hỏi bổ sung của các nhà nghiên cứu từ Bundesbank và các nhà nghiên cứu bên ngoài. Việc tham gia khảo sát là tự nguyện, đáp viên từ 16 tuổi trở lên được phép tham gia.
 


 

Nghiên cứu thiết kế các câu hỏi khảo sát theo phương pháp thử nghiệm đối chứng ngẫu nhiên. Ở bước thứ nhất, tất cả đáp viên được thông báo về mục tiêu lạm phát của ECB. Sau đó, họ được yêu cầu ước tính xác suất đạt được mục tiêu trung hạn: Để thực hiện việc này, những đáp viên phân bố xác suất lạm phát nằm trong một khoảng nhất định (từ dưới 1% đến hơn 5%) về trung hạn. Nghiên cứu giới hạn các ước tính xác suất để tổng của chúng bằng 100. Trong bước thứ hai, các đáp viên được chia ngẫu nhiên thành một số nhóm. Mỗi nhóm nhận các thông điệp khác nhau (định lượng hoặc định tính) từ ECB, liên quan đến dự báo lạm phát trung hạn. Còn nhóm đối chứng sẽ không nhận bất cứ thông điệp nào từ ECB. Sau đó, toàn bộ các đáp viên lại được yêu cầu ước tính lạm phát trong một năm, 2 - 3 năm và 5 - 10 năm.
 

Cụ thể, hai nhóm đã nhận thông tin định lượng về dự báo lạm phát của ECB công bố vào tháng 3/2022. Ngoài ra, một trong hai nhóm này đã nhận được thông tin về việc điều chỉnh dự báo trong tháng 3/2022 so với dự báo trước đó, được công bố vào tháng 12/2021 (nhóm này được gọi là “định lượng nâng cao”). Hai nhóm còn lại được tiếp cận với các giải thích về các dự báo của nhà kinh tế trưởng ECB, Philip Lane, người được nhiều phương tiện truyền thông trích dẫn. Một nhóm (được gọi là “định tính nâng cao”) được cung cấp thông tin rằng, Lane kỳ vọng lạm phát sẽ giảm trong suốt năm 2022 và lạm phát trong năm 2023 và 2024 sẽ giảm xuống dưới mức mục tiêu. Một nhóm khác cũng được biết thêm rằng, Lane không (chưa) thấy bất kỳ bằng chứng nào về hiệu ứng vòng hai của lạm phát (second-round effects on inflation)2.

 

2. Kết quả và thảo luận

Biểu đồ 4: Phân bố xác suất lạm phát kỳ vọng của các hộ gia đình trước khi được ECB báo cáo về triển vọng lạm phát


Nguồn: Mathias Hoffmann, Emanuel Moench và các cộng sự (2022)

Biểu đồ 4 minh họa phân bố xác suất theo đánh giá của các hộ gia đình về lạm phát ngắn hạn (xanh đậm), trung hạn (xanh lam) và dài hạn (xanh nhạt) trước khi được ECB thông báo về triển vọng lạm phát. Lạm phát kỳ vọng trong ngắn hạn nghiêng hẳn về phía tăng, bình quân những người được hỏi cho rằng với xác suất 33%, lạm phát trong một năm sẽ vượt quá 5% và với xác suất khoảng 80%, lạm phát sẽ cao hơn 3%. Tuy nhiên, lạm phát kỳ vọng trong trung hạn thấp hơn đáng kể: Xác suất lạm phát trên 5% ước tính khoảng 20%, lạm phát trên 3% - khoảng 70%. Trong thời hạn 10 năm, lạm phát kỳ vọng thậm chí còn thấp hơn (xác suất lạm phát trên 5% được ước tính vào khoảng 15% và trên 3% - khoảng 55%). Tuy nhiên, hầu hết những người được hỏi đều kỳ vọng lạm phát sẽ cao hơn mục tiêu 2% của ECB. Từ những số liệu này, nghiên cứu của GS. Mathias Hoffmann, GS. Emanuel Moench và các cộng sự (2022) kết luận rằng, vào tháng 3/2022, các hộ gia đình Đức phần lớn coi lạm phát cao là tạm thời, nhưng đồng thời, cũng nhận thấy rủi ro đáng kể rằng nó sẽ duy trì trên mục tiêu của ECB trong một thời gian dài.
 

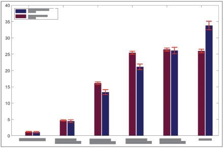
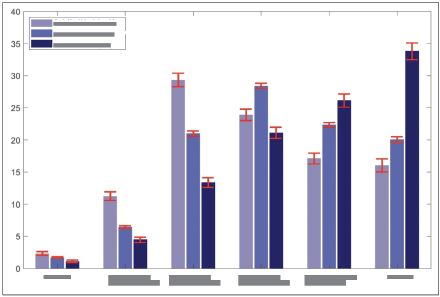
Sau khi nhận được các kết luận trên, nghiên cứu của GS. Mathias Hoffmann, GS. Emanuel Moench và các cộng sự (2022) đặt ra mục tiêu tìm hiểu liệu hoạt động truyền thông chính sách của ECB có khả năng dịch chuyển mức kỳ vọng lạm phát gần hơn với mục tiêu lạm phát hay không. Để thực hiện điều này, nghiên cứu đã so sánh phản hồi của nhiều nhóm đáp viên khác nhau được chọn ngẫu nhiên về động lực lạm phát kỳ vọng ​​của họ trước và sau khi tiếp cận với thông tin chính sách của ECB định tính (bằng lời nói) và định lượng (bằng số) có chứa các dự báo lạm phát (xem Biểu đồ 5, 6, 7).

Biểu đồ 5: Lạm phát kỳ vọng 1 năm của các đáp viên trước và sau khi được tiếp cận thông tin chính sách


Nguồn: Mathias Hoffmann, Emanuel Moench và các cộng sự (2022)

 

Biểu đồ 6: Lạm phát kỳ vọng 2 - 3 năm của các đáp viên trước và sau khi được tiếp cận thông tin chính sách


Nguồn: Mathias Hoffmann, Emanuel Moench và các cộng sự (2022)

 

Theo Biểu đồ 5, 6, 7, những người trả lời nhận được một trong hai loại thông tin đã điều chỉnh giảm đáng kể kỳ vọng lạm phát cao của họ trong năm tới. Ví dụ: Xác suất lạm phát trên 5% giảm từ 1/3 xuống còn 1/4 (Biểu đồ 5). Điều tương tự cũng xảy ra với kỳ vọng trung hạn, mặc dù ở mức độ thấp hơn (ước tính xác suất lạm phát trên 5% trong 2 - 3 năm đã giảm từ 20% xuống còn khoảng 15%, Biểu đồ 6). Tương tự, truyền thông chính sách của ECB làm giảm kỳ vọng lạm phát cao trong dài hạn (5 - 10 năm, Biểu đồ 7).

Biểu đồ 7: Lạm phát kỳ vọng 5 - 10 năm của các đáp viên trước và sau khi được tiếp cận thông tin chính sách


Nguồn: Mathias Hoffmann, Emanuel Moench và các cộng sự (2022)


Tiếp theo, nghiên cứu của GS. Mathias Hoffmann, GS. Emanuel Moench và các cộng sự (2022) đánh giá tác động của các loại hình truyền thông chính sách khác nhau đối với lạm phát kỳ vọng của các đáp viên. Nghiên cứu xác định mức lạm phát kỳ vọng ngắn hạn, trung hạn và dài hạn bình quân cho tất cả các nhóm, mỗi nhóm nhận được các thông báo khác nhau từ ECB và tách chúng khỏi các chỉ số của nhóm kiểm soát
(nhóm không tiếp cận với bất kỳ thông báo nào từ ECB), trên cơ sở đó, nghiên cứu rút ra ba kết luận.
 

Một là, lạm phát kỳ vọng giảm trên các kỳ hạn. Tỷ lệ lạm phát kỳ vọng trung bình giảm từ mức 4,28% cho kỳ hạn một năm xuống mức 3,78% và 3,38% cho kỳ hạn 2 - 3 năm và 5 - 10 năm tương ứng. Tuy nhiên, trong khi mức giảm 90 điểm cơ bản này là đáng kể, thì kỳ vọng lạm phát trung bình vẫn được nâng cao ngay cả trong dài hạn.
 

Hai là, tất cả các loại hình truyền thông (cả định lượng và định tính) đã góp phần giảm kỳ vọng lạm phát cao và giảm đáng kể về mặt thống kê.
 

Thứ ba, bằng cách so sánh tác động của việc tiếp cận với các loại hình thông điệp khác nhau, nghiên cứu nhận thấy rằng, thông tin chứa các đánh giá định tính có tác động mạnh hơn nhiều so với thông tin định lượng. Nếu thông tin định tính làm giảm lạm phát kỳ vọng khoảng 47 điểm cơ bản cho năm hiện tại, 28 điểm cơ bản cho trung hạn và 23 điểm cơ bản về dài hạn thì thông tin định lượng chỉ làm giảm lạm phát kỳ vọng ở các mức tương ứng là 17; 18 và 11 điểm cơ bản.
 

Trong một bài báo được xuất bản vào năm 2022, GS. Lena Drager và các cộng sự đã chỉ ra rằng việc cung cấp cho các đáp viên những thông tin về lạm phát kỳ vọng từ các nhà dự báo chuyên nghiệp, những người tập trung vào lạm phát cao thay vì mục tiêu của ECB chỉ làm giảm lạm phát kỳ vọng ngắn hạn. Ngoài ra, Drager và các cộng sự (cũng sử dụng thử nghiệm RCT (Randomised Control Trial) để thu thập dữ liệu từ cuộc khảo sát BOP-HH của Bundesbank vào tháng 9/2021) nhận thấy rằng, ảnh hưởng của truyền thông bằng văn bản đối với mức lạm phát kỳ vọng là khá hạn chế.
 

Mặt khác, nghiên cứu phát hiện rằng việc mở rộng truyền thông chính sách với các thông điệp bổ sung, như dữ liệu cập nhật các dự báo trước đó của ECB trong trường hợp của nhóm “định lượng nâng cao” hoặc các nhận định cho rằng các hiệu ứng của lạm phát vòng hai chưa quan sát thấy, trong trường hợp của nhóm “định tính nâng cao”, không làm tăng hiệu quả truyền thông. Điều này cho thấy rằng, những người tham gia khảo sát sẵn sàng hoặc chỉ có thể xử lý một lượng thông tin văn bản hạn chế. Nhận định này phù hợp với kết luận của GS. Olivier Coibion và các cộng sự (2019), khi phát hiện rằng việc các đáp viên đọc các tuyên bố của Ủy ban Thị trường Mở (FOMC), Cục Dự trữ liên bang Mỹ (Fed) sau cuộc họp có mức ảnh hưởng đến kỳ vọng lạm phát hộ gia đình không lớn hơn so với việc chỉ tiếp cận với các dự báo lạm phát của FOMC.
 

Trong nghiên cứu gần đây của Enzo Rossi và các cộng sự (2022), bằng dữ liệu khảo sát 488.000 công dân khu vực Euro từ năm 1999 đến 2019, đã tìm thấy bằng chứng thuyết phục rằng, tần suất giao tiếp nhiều hơn, được đo bằng số lượng bài phát biểu của các đại diện hệ thống NHTW các nước châu Âu có ảnh hưởng tiêu cực đến niềm tin của công dân đối với ECB. Tuy nhiên, nghiên cứu của GS. Mathias Hoffmann, GS. Emanuel Moench và các cộng sự (2022) lại cho thấy rằng niềm tin cao hơn có liên quan đến việc tăng cường tác động của truyền thông ECB đối với kỳ vọng lạm phát. Kết quả này phù hợp với nghiên cứu trước đây cũng của nhóm tác giả GS. Mathias Hoffmann, Lora Pavlova, Guido Schultefrankenfeld (2021) rằng, việc thông báo cho các hộ gia đình về chiến lược chính sách tiền tệ của ECB có thể ảnh hưởng tích cực đến quá trình định hình lạm phát kỳ vọng của họ và các hộ gia đình có mức độ tin tưởng cao hơn vào NHTW sẽ điều chỉnh kỳ vọng lạm phát của họ nhiều hơn. 

 

3. Kết luận
 

Nhìn chung, các kết quả phân tích trong nghiên cứu của GS. Mathias Hoffmann, GS. Emanuel Moench và các cộng sự (2022) cho thấy rằng truyền thông có mục tiêu của NHTW có thể là một phương pháp hiệu quả để giảm lạm phát kỳ vọng của hộ gia đình trong thời kỳ lạm phát cao. Hơn nữa, những từ ngữ giải thích các dự báo lạm phát dường như hoạt động tốt hơn nhiều so với việc chỉ định lượng lạm phát trong tương lai.
 

Bản thân các cựu quan chức cấp cao của ECB cũng thừa nhận rằng, việc giao tiếp với công chúng có thể được cải thiện, chẳng hạn như thông qua việc sử dụng mạng xã hội (bằng chứng là cuộc khảo sát 27 cựu thành viên Hội đồng Quản trị của ECB, do người đứng đầu bộ phận nghiên cứu chính sách tiền tệ của ECB, Michael Ehrman và các cộng sự thực hiện vào năm 2020). Ngoài ra, những giải thích bằng lời nói dường như là một phương tiện hiệu quả hơn để giải quyết “sự khác biệt trong kiến ​​thức về chính sách tiền tệ  của các hộ gia đình” (mà các NHTW cần phải tính đến khi giao tiếp với công chúng, vì không phải tất cả các đại diện của công chúng đều nhận thức rõ về các mục tiêu của chính sách tiền tệ, như nghiên cứu của Jacob De Haan và cộng sự (2015) ở Hà Lan đã phát hiện). Mặc dù chủ đề nêu trên cần tiếp tục nghiên cứu thêm, nhưng những phát hiện trong nghiên cứu của GS. Mathias Hoffmann, GS. Emanuel Moench và các cộng sự (2022) có thể cung cấp một số định hướng hữu ích và có giá trị trong lĩnh vực này.

 


1 Thử nghiệm đối chứng ngẫu nhiên (Randomised control trial, RCT): So sánh kết quả của hai nhóm người được chọn ngẫu nhiên - thực nghiệm và đối chứng; lựa chọn ngẫu nhiên cho phép tránh sự chủ quan, định kiến và xác định chính xác hơn mối quan hệ nhân quả giữa một hành động nhất định và kết quả của nó.

2 Sự gia tăng giá mà các hộ gia đình phải trả cho năng lượng - như xăng, dầu sưởi và khí đốt tự nhiên - thể hiện sự gia tăng chi phí sinh hoạt và lạm phát giá cả. Tác động trực tiếp này của giá năng lượng cao hơn đối với chi phí sinh hoạt đôi khi được gọi là hiệu ứng đầu tiên đối với lạm phát. Ngoài ra, chi phí năng lượng cao hơn có thể có tác động gián tiếp đến lạm phát - ví dụ, nếu các công ty chuyển chi phí sản xuất tăng lên dưới hình thức giá tiêu dùng cao hơn đối với hàng hóa hoặc dịch vụ phi năng lượng hoặc nếu người lao động phản ứng với việc tăng chi phí sinh hoạt bằng cách đòi hỏi mức lương danh nghĩa cao hơn. Chi phí năng lượng tăng cũng có thể làm tăng kỳ vọng lạm phát dài hạn của công chúng, một yếu tố sẽ gây thêm áp lực lên lạm phát. Những tác động gián tiếp của giá năng lượng cao hơn đối với lạm phát chung được gọi là hiệu ứng vòng hai đối với lạm phát.
 

Tài liệu tham khảo:
 

1. Матиас Хоффманн, Эмануэль Менх, Лора Павлова, Гвидо Шультефранкенфельд, “Слова важнее цифр: коммуникация центробанков в период высокой инфляции”, 2022, https://econs.online/articles/opinions/slova-vazhnee-tsifr-kommunikatsiya-tsentrobankov/ [Truy cập 14.8.2022].

2. ECB, Past macroeconomic projections, 2022, https://www.ecb.europa.eu/mopo/strategy/ecana/html/table.en.html, Truy cập 14.8.2022.

3. Bundesbank, Inflation expectations, 2022, https://www.bundesbank.de/en/bundesbank/research/survey-on-consumer-expectations/inflation-expectations-848334#tar-1, Truy cập 14.8.2022.

4. Lena Drager, Michael Lamla, Damjan Pfajfar, “How to limit the spillover from the 2021 inflation surge to inflation expectations? 2022, https://diskussionspapiere.wiwi.uni-hannover.de/pdf_bib/dp-694.pdf, Truy cập 15.8.2022.

5. Olivier Coibion, Michael Weber, Yuriy Gorodnichenko, “Monetary communications and their effects on household inflation expectations”, 2019, https://cepr.org/voxeu/columns/monetary-policy-communications-and-their-effects-household-inflation-expectations, Truy cập 15.8.2022.

6. In Do Hwang, Thomas Lustenberger, Enzo Rossi, “Central Bank Communication and Pubic Trust: The cases of ECB speeches”, 2022, https://www.researchgate.net/publication/361639838_Central_Bank_Communication_and_Public_Trust_The_Case_of_ECB_Speeches, Truy cập 22.8.2022.

7. Mathias Hoffmann, Lora Pavlova, Guido Schultefrankenfeld, “The effects of ECB’s new inflation target on private households’ inflation expectations”, 2021, https://www.bundesbank.de/en/publications/research/research-brief/2021-43-inflation-target-881212, Truy cập 22.8.2022.

8. Jacob De Haan, etc., “What the general public knows about monetary policy, 2015, https://cepr.org/voxeu/columns/what-general-public-knows-about-monetary-policy, Truy cập 22.8.2022.


TS. Nguyễn Đình Trung 

Đại học Hòa Bình

 

 


  • aA
  • Các chuyên mục:
  • Fintech - Nghiên cứu trao đổi
  • Tạp chí Ngân hàng
CÁC TIN KHÁC
Thanh toán trong kỷ nguyên số: Yêu cầu tái định vị vai trò của ngân hàng
19/01/2026
Dự thảo Nghị định về Tiền di động: Tạo thuận lợi gắn với kiểm soát rủi ro
18/12/2025
Triển vọng Fintech toàn cầu: Từ tăng trưởng nhanh sang tăng trưởng bền vững
15/07/2025
Chuyển đổi số ở các ngân hàng thương mại Việt Nam: Thành tựu, thách thức và một số kiến nghị hoàn thiện
02/07/2025
Tăng cường ổn định tài chính nâng cao khả năng chống chịu trong bối cảnh kinh tế hiện nay
03/06/2025
Lộ trình giảm lãi suất trong năm 2025 được mở ra từ Fed
02/06/2025
ECB cảnh báo nguy cơ suy giảm niềm tin ngân hàng từ tài sản mã hóa
05/06/2025
ECB điều chỉnh chính sách trong bối cảnh lạm phát hạ nhiệt
06/06/2025
Thụy Sĩ: Chỉ số giá tiêu dùng vào vùng giảm phát, yếu tố thúc đẩy nới lỏng tiền tệ
05/06/2025
Hạn hán - Thách thức mới cho ổn định tài chính Khu vực đồng Euro
02/06/2025
Đang hiển thị 1 đến 10 của 2665
  • 1
  • 2
  • 3
  • 267
Giới thiệu NHNN
  • Sơ lược quá trình thành lập và phát triển
  • Chức năng nhiệm vụ
  • Ban lãnh đạo đương nhiệm
  • Lãnh đạo NHNN qua các thời kỳ
CPI
Lãi suất
Dự trữ bắt buộc
Hoạt động thị trường tiền tệ
  • Nghiệp vụ thị trường mở
  • Thông tin chào bán tín phiếu NHNN
  • Đấu thầu Tín phiếu kho bạc nhà nước
    • Thông báo đấu thầu
    • Kết quả đấu thầu
  • Giấy mời tham gia đấu thầu vàng
Cải cách hành chính
  • Tin tức CCHC
  • Bản tin CCHC nội bộ
  • Văn bản CCHC
  • Phiếu lấy ý kiến giải quyết TTHC
  • Bộ câu hỏi về thủ tục hành chính NHNN
  • Danh mục điều kiện kinh doanh
  • Danh mục báo cáo định kỳ
  • HTQLCL theo tiêu chuẩn ISO
  • Đào tạo ISO
Dịch vụ công trực tuyến
Hoạt động khác
  • Đầu tư, đấu thầu
    • Thông tin đấu thầu
    • Các dự án đang chuẩn bị đầu tư
    • Các dự án đang triển khai
    • Các dự án đã hoàn tất
  • Tài chính vi mô tại Việt Nam
  • Ổn định tài chính
    • Giới thiệu
      • Ổn định tài chính và vai trò của ổn định tài chính
      • Vai trò của NHTW đối với ổn định tài chính
    • Báo cáo chuyên đề về ổn định tài chính
  • Hợp tác quốc tế
    • Quan hệ với ADB
    • Quan hệ với IMF
    • Quan hệ với IBEC - IIB
    • Quan hệ với WB
    • Quan hệ với AIIB
    • Quan hệ với BIS
    • Quan hệ song phương
      • Tổng quan về hoạt động hợp tác song phương
      • Khu vực châu Á
      • Khu vực châu Âu
      • Khu vực châu Mỹ
      • Khu vực châu Phi
      • Khu vực châu Đại Dương
    • Quan hệ đa phương
      • Tổng quan về hoạt động hợp tác đa phương
      • Giới thiệu tổ chức APEC
      • Giới thiệu tổ chức ASEM
      • Giới thiệu tổ chức WTO
      • Giới thiệu tổ chức ASEAN
      • Giới thiệu SEACEN
  • Công nghệ thông tin
    • Chiến lược phát triển và ứng dụng CNTT trong hoạt động ngân hàng
    • Hỗ trợ kỹ thuật
    • An toàn thông tin
      • Danh sách đầu mối ứng cứu sự cố ANTT
      • Hoạt động mạng lưới ứng cứu sự cố ANTT
      • Văn bản chính sách ANTT
      • Tài liệu tuyên truyền nâng cao nhận thức ANTT
  • Hoạt động khoa học công nghệ
    • Các chương trình đề tài
    • Kết quả các chương trình, đề tài
    • Hợp tác nghiên cứu
    • Dịch vụ khoa học công nghệ
    • Chiến lược phát triển ngành ngân hàng
  • Tổ chức cán bộ
    • Tuyển dụng
  • Thi đua khen thưởng
    • Văn bản về thi đua khen thưởng
    • Công tác thi đua khen thưởng
    • Lấy ý kiến nhân dân đối với tập thể, cá nhân được đề nghị khen thưởng cấp nhà nước
  • Hệ thống báo cáo phục vụ điều hành CSTT quốc gia
  • Hoạt động Tổ chức tín dụng
  • Hoạt động đoàn thể
  • Tài chính kế toán
    • Chế độ kế toán của NHNN
      • Văn bản quy phạm pháp luật
      • Văn bản hướng dẫn
    • Quản lý tài chính, tài sản của NHNN
      • Văn bản
      • Tình hình triển khai
    • Chế độ kế toán của TCTD
      • Văn bản quy phạm pháp luật
      • Văn bản hướng dẫn
    • Quản lý đầu tư xây dựng cơ bản
Cơ chế chính sách hỗ trợ doanh nghiệp
  • Các chính sách của NHNN
  • Các chính sách của TCTD
  • Giải đáp chính sách
  • Hỗ trợ pháp lý cho DNVVN
NHNN với Quốc hội và cử tri
  • Thống đốc NHNN trả lời đại biểu Quốc hội và cử tri
  • Thống đốc NHNN trả lời chất vấn của đại biểu Quốc hội
  • Thống đốc trả lời ý kiến, kiến nghị của cử tri
    • Thống đốc trả lời kiến nghị cử tri theo tỉnh, thành phố
    • Thống đốc trả lời kiến nghị cử tri theo nhóm vấn đề
  • Hoạt động về công tác Quốc hội
  • Báo cáo, giải trình
    • Báo cáo của NHNN
    • Giải trình của NHNN
  • Tài liệu tham khảo
    • Nghị quyết của Quốc hội
    • Báo cáo tại các Kỳ họp của Quốc hội
    • Nghị quyết của Ủy ban Thường vụ Quốc hội
  • Liên hệ
Công bố thông tin của Doanh nghiệp nhà nước thuộc ngành Ngân hàng
  • Danh sách Doanh nghiệp do NHNN quản lý và phần vốn góp tại Doanh nghiệp
  • Thông tin định kỳ
    • Chiến lược phát triển của doanh nghiệp
    • Kế hoạch sản xuất, kinh doanh và đầu tư phát triển 05 năm của doanh nghiệp
    • Kế hoạch sản xuất, kinh doanh và đầu tư phát triển hằng năm của doanh nghiệp
    • Báo cáo đánh giá về kết quả thực hiện kế hoạch sản xuất, kinh doanh hằng năm và 03 năm gần nhất tính đến năm báo cáo
    • Báo cáo kết quả thực hiện các nhiệm vụ công ích và trách nhiệm xã hội khác (nếu có)
    • Báo cáo thực trạng quản trị và cơ cấu tổ chức của doanh nghiệp
    • Báo cáo tình hình đầu tư, quản lý, sử dụng vốn nhà nước tại doanh nghiệp
    • Quyết định giao chỉ tiêu đánh giá hằng năm
    • Kế hoạch giám sát các doanh nghiệp
    • Báo cáo tài chính 06 tháng và báo cáo tài chính năm của doanh nghiệp
    • Báo cáo chế độ tiền lương, tiền thưởng của doanh nghiệp
    • Báo cáo tình hình thực hiện sắp xếp, đổi mới doanh nghiệp hằng năm
  • Thông tin bất thường
Hệ thống các TCTD
  • Ngân hàng
    • Ngân hàng thương mại
      • NHTM Nhà nước
      • NHTM Cổ phần
      • Ngân hàng 100% vốn nước ngoài
      • Ngân hàng liên doanh
    • Ngân hàng Chính sách xã hội
    • Ngân hàng Hợp tác xã
  • TCTD phi ngân hàng
    • Công ty tài chính
    • Công ty cho thuê tài chính
    • TCTD phi ngân hàng khác
  • Tổ chức tài chính vi mô
  • Quỹ tín dụng nhân dân
  • Chi nhánh ngân hàng nước ngoài
  • Văn phòng đại diện
Chương trình, chính sách tín dụng trọng điểm
  • Cơ chế, chính sách tín dụng, các chương trình, gói tín dụng hỗ trợ doanh nghiệp nhỏ và vừa
    • Văn bản chỉ đạo, điều hành
    • Kết quả triển khai
  • Chương trình khác
    • Kết quả triển khai
    • Văn bản chỉ đạo, điều hành
  • Chính sách tín dụng phục vụ phát triển nông nghiệp, nông thôn
    • Văn bản chỉ đạo, điều hành
    • Kết quả triển khai
Phổ biến kiến thức
  • Phổ biến kiến thức pháp luật
  • Các nội dung phổ biến kiến thức cộng đồng
    • Tiền Việt Nam - những điều bạn nên biết
      • Phát hành và điều hòa tiền mặt
      • Tiền không đủ tiêu chuẩn lưu thông
      • Tiền đình chỉ lưu hành
      • Phân biệt tiền thật, tiền giả
      • Bảo vệ tiền Việt Nam
    • Các hoạt động thanh toán qua ngân hàng
      • Một số thông tin về thẻ ngân hàng
      • Những điều cần biết khi giao dịch qua ngân hàng điện tử
Tiếp cận thông tin
  • Danh mục thông tin công khai
  • Thông tin về đầu mối cung cấp thông tin cho công dân
  • Địa chỉ tiếp nhận yêu cầu cung cấp thông tin qua mạng điện tử
  • Các mẫu phiếu sử dụng trong cung cấp thông tin
  • Hướng dẫn yêu cầu cung cấp thông tin
Thanh Tìm kiếm
TIN VIDEO
Ngân hàng Nhà nước Khu vực 5: Lan toả kỹ năng số trong mỗi cán bộ ngân hàng
Ngân hàng Nhà nước Khu vực 5: Lan toả kỹ năng số trong mỗi cán bộ ngân hàng
TIN ẢNH
Ấn tượng ngành Ngân hàng tại Triển lãm thành tựu Đất nước "80 năm Hành trình Độc lập - Tự do - Hạnh phúc"
Ấn tượng ngành Ngân hàng tại Triển lãm thành tựu Đất nước "80 năm Hành trình Độc lập - Tự do - Hạnh phúc"
TIN ẢNH
Ấn tượng ngành Ngân hàng tại Triển lãm thành tựu Đất nước "80 năm Hành trình Độc lập - Tự do - Hạnh phúc"
Ấn tượng ngành Ngân hàng tại Triển lãm thành tựu Đất nước "80 năm Hành trình Độc lập - Tự do - Hạnh phúc"
Icon

Danh bạ liên hệ

Icon

Phản ánh kiến nghị

Icon

Đường dây nóng

Calendar Icon LỊCH LÀM VIỆC CỦA BAN LÃNH ĐẠO Microphone Icon CÁC BÀI PHÁT BIỂU Chart Icon CPI Percentage Icon LÃI SUẤT Money Icon DỰ TRỮ BẮT BUỘC Graduation Icon GIÁO DỤC TÀI CHÍNH Newspaper Icon THÔNG CÁO BÁO CHÍ ẤN PHẨM PHÁT HÀNH
Ngân hàng
ĐẠI HỘI ĐẢNG CÁC CẤP NHIỆM KỲ 2025-2030 Chuyển đổi số
Danh Bạ Liên Hệ Phản Ánh Kiến Nghị Đường Dây Nóng
© cổng thông tin điện tử ngân hàng nhà nước việt nam
Địa chỉ: 49 Lý Thái Tổ - Hoàn Kiếm - Hà Nội
Thường trực Ban biên tập: (84 - 243) 266.9435
Email: thuongtrucweb@sbv.gov.vn rss
NCSC Certification
Số điện thoại tổng đài Ngân hàng Nhà nước: (84 - 243) 936.6306
Đầu mối tiếp nhận thông tin về sự cố an toàn thông tin: số điện thoại: (+84) 84.859.5983, email: antt@sbv.gov.vn
IPv6 Ready