Skip to Main Content
Lỗi

Cổng Thông Tin Điện Tử

Ngân Hàng Nhà Nước Việt Nam

|
  • Tin tức - sự kiện
  • Chính sách tiền tệ
    • Định hướng điều hành CSTT và hoạt động ngân hàng trong năm
    • Thẩm quyền quyết định CSTT quốc gia và các công cụ thực hiện
  • Thanh toán & ngân quỹ
    • Nhiệm vụ của NHNN trong hoạt động thanh toán
    • Các hệ thống thanh toán trong nền kinh tế
      • Hệ thống thanh toán điện tử liên ngân hàng
      • Các hệ thống thanh toán khác
    • Giám sát hệ thống thanh toán
    • Thanh toán không dùng tiền mặt
    • Hệ thống mã tổ chức phát hành thẻ
    • Biểu phí dịch vụ thanh toán qua NHNN
    • Hoạt động ngân quỹ
    • Danh mục các giao dịch bắt buộc phải thanh toán qua ngân hàng
  • Phát hành tiền
    • Đồng tiền Việt Nam
    • Tiền thật, tiền giả
    • Những hành vi bị nghiệm cấm và một số quy định về xử phạt liên quan đến phòng, chống tiền giả và bảo vệ tiền Việt Nam
  • QUẢN LÝ NGOẠI HỐI
    VÀ KINH DOANH VÀNG
  • Dữ liệu thống kê
    • Cán cân thanh toán quốc tế
    • Tổng phương tiện thanh toán
      • Tổng phương tiện thanh toán và Tiền gửi của khách hàng tại TCTD
      • Tiền mặt lưu thông trên tổng phương tiện thanh toán
    • Hoạt động thanh toán
      • Giao dịch của hệ thống thanh toán quốc gia
      • Giao dịch thanh toán nội địa theo các PTTT
      • Giao dịch thanh toán nội địa qua Internet và Mobile Bank
      • Giao dịch qua ATM,POS/EFTPOS/EDC
      • Số lượng thẻ ngân hàng
      • Tài khoản tiền gửi thanh toán của cá nhân
      • Các tổ chức CUDVTT không phải là TCTD
    • Dư nợ tín dụng đối với nền kinh tế
    • Hoạt động của hệ thống các TCTD
      • Thống kê một số chỉ tiêu cơ bản
      • Tỷ lệ dư nợ cho vay so với tổng tiền gửi
      • Tỷ lệ nợ xấu trong tổng dư nợ tín dụng
    • Điều tra thống kê
      • Hướng dẫn
      • Phiếu điều tra
      • Kết quả điều tra
      • Điều tra trực tuyến
    • Các văn bản liên quan đến quy định báo cáo thống kê
  • Tin tức - Sự kiện
  • Thông cáo báo chí
    • Thông tin về hoạt động ngân hàng trong tuần
    • Thông cáo báo chí khác
  • Tỷ giá trung tâm
  • Tỷ giá tham khảo tại giữa đồng Việt Nam và các loại ngoại tệ tại Cục Quản lý ngoại hối
  • Tỷ giá tính chéo của Đồng Việt Nam với một số ngoại tệ để xác định giá tính thuế
  • Lãi suất NHNN quy định
  • Lãi suất thị trường liên ngân hàng
  • Dữ liệu thống kê
    • Cán cân thanh toán quốc tế
    • Tổng phương tiện thanh toán
      • Tổng phương tiện thanh toán và Tiền gửi của khách hàng tại TCTD
      • Tiền mặt lưu thông trên tổng phương tiện thanh toán
    • Hoạt động thanh toán
      • Giao dịch của hệ thống thanh toán quốc gia
      • Giao dịch thanh toán nội địa theo các PTTT
      • Giao dịch qua ATM/POS/EFTPOS/EDC
      • Số lượng thẻ ngân hàng
      • Tài khoản tiền gửi thanh toán của cá nhân
      • Các tổ chức CUDVTT không phải là TCTD
    • Dư nợ tín dụng đối với nền kinh tế
    • Hoạt động của hệ thống các TCTD
      • Thống kê một số chi tiêu cơ bản
      • Tỷ lệ dư nợ cho vay so với tổng tiền gửi
      • Tỷ lệ nợ xấu trong tổng dư nợ tín dụng
    • Điều tra thống kê
      • Hướng dẫn
      • Phiếu điều tra
      • Điều tra trực tuyến
      • Kết quả điều tra
    • Các văn bản liên quan đến quy định báo cáo thống kê
  • CPI
  • Văn bản quy phạm pháp luật
  • Chính sách tiền tệ
    • Định hướng điều hành CSTT và hoạt động ngân hàng trong năm
    • Thẩm quyền quyết định CSTT quốc gia và các công cụ thực hiện
  • Thanh toán & ngân quỹ
    • Nhiệm vụ của NHNN trong hoạt động thanh toán
    • Các hệ thống thanh toán trong nền kinh tế
      • Hệ thống thanh toán điện tử liên ngân hàng
      • Các hệ thống thanh toán khác
    • Giám sát hệ thống thanh toán
      • Thanh toán không dùng tiền mặt
    • Hệ thống mã tổ chức phát hành thẻ
    • Biểu phí dịch vụ thanh toán qua NHNN
    • Hoạt động ngân quỹ
    • Danh mục các giao dịch bắt buộc phải thanh toán qua ngân hàng
  • Phát hành tiền
    • Đồng tiền Việt Nam
    • Tiền thật, tiền giả
    • Những hành vi bị nghiệm cấm và một số quy định về xử phạt liên quan đến phòng, chống tiền giả và bảo vệ tiền Việt Nam
  • Quản lý hoạt động ngoại hối và hoạt động kinh doanh vàng
  • Cải cách hành chính
    • Tin tức CCHC
    • Bản tin CCHC nội bộ
    • Văn bản cải cách hành chính
    • Phiếu lấy ý kiến giải quyết TTHC
    • Bộ câu hỏi về thủ tục hành chính NHNN
    • Danh mục điều kiện kinh doanh
    • Danh mục báo cáo định kỳ
    • HTQLCL theo tiêu chuẩn ISO
    • Đào tạo ISO
  • Diễn đàn NHNN
    • Hỏi đáp
    • Lấy ý kiến dự thảo VBQPPL
  • Giới thiệu NHNN
    • Sơ lược quá trình thành lập và phát triển
    • Chức năng nhiệm vụ
    • Ban lãnh đạo đương nhiệm
    • Lãnh đạo NHNN qua các thời kỳ
Trang chủ
  • Tin tức - Sự kiện
  • Thông cáo báo chí
    • Thông tin về hoạt động ngân hàng trong tuần
    • Thông cáo báo chí khác
  • Tỷ giá trung tâm
  • Tỷ giá tham khảo tại giữa đồng Việt Nam và các loại ngoại tệ tại Cục Quản lý ngoại hối
  • Tỷ giá tính chéo của Đồng Việt Nam với một số ngoại tệ để xác định giá tính thuế
  • Lãi suất NHNN quy định
  • Lãi suất thị trường liên ngân hàng
  • Dữ liệu thống kê
    • Cán cân thanh toán quốc tế
    • Tổng phương tiện thanh toán
      • Tổng phương tiện thanh toán và Tiền gửi của khách hàng tại TCTD
      • Tiền mặt lưu thông trên tổng phương tiện thanh toán
    • Hoạt động thanh toán
      • Giao dịch của hệ thống thanh toán quốc gia
      • Giao dịch thanh toán nội địa theo các PTTT
      • Giao dịch qua ATM/POS/EFTPOS/EDC
      • Số lượng thẻ ngân hàng
      • Tài khoản tiền gửi thanh toán của cá nhân
      • Các tổ chức CUDVTT không phải là TCTD
    • Dư nợ tín dụng đối với nền kinh tế
    • Hoạt động của hệ thống các TCTD
      • Thống kê một số chi tiêu cơ bản
      • Tỷ lệ dư nợ cho vay so với tổng tiền gửi
      • Tỷ lệ nợ xấu trong tổng dư nợ tín dụng
    • Điều tra thống kê
      • Hướng dẫn
      • Phiếu điều tra
      • Điều tra trực tuyến
      • Kết quả điều tra
    • Các văn bản liên quan đến quy định báo cáo thống kê
  • CPI
  • Văn bản quy phạm pháp luật
  • Chính sách tiền tệ
    • Định hướng điều hành CSTT và hoạt động ngân hàng trong năm
    • Thẩm quyền quyết định CSTT quốc gia và các công cụ thực hiện
  • Thanh toán & ngân quỹ
    • Nhiệm vụ của NHNN trong hoạt động thanh toán
    • Các hệ thống thanh toán trong nền kinh tế
      • Hệ thống thanh toán điện tử liên ngân hàng
      • Các hệ thống thanh toán khác
    • Giám sát hệ thống thanh toán
      • Thanh toán không dùng tiền mặt
    • Hệ thống mã tổ chức phát hành thẻ
    • Biểu phí dịch vụ thanh toán qua NHNN
    • Hoạt động ngân quỹ
    • Danh mục các giao dịch bắt buộc phải thanh toán qua ngân hàng
  • Phát hành tiền
    • Đồng tiền Việt Nam
    • Tiền thật, tiền giả
    • Những hành vi bị nghiệm cấm và một số quy định về xử phạt liên quan đến phòng, chống tiền giả và bảo vệ tiền Việt Nam
  • Quản lý hoạt động ngoại hối và hoạt động kinh doanh vàng
  • Cải cách hành chính
    • Tin tức CCHC
    • Bản tin CCHC nội bộ
    • Văn bản cải cách hành chính
    • Phiếu lấy ý kiến giải quyết TTHC
    • Bộ câu hỏi về thủ tục hành chính NHNN
    • Danh mục điều kiện kinh doanh
    • Danh mục báo cáo định kỳ
    • HTQLCL theo tiêu chuẩn ISO
    • Đào tạo ISO
  • Diễn đàn NHNN
    • Hỏi đáp
    • Lấy ý kiến dự thảo VBQPPL
  • Giới thiệu NHNN
    • Sơ lược quá trình thành lập và phát triển
    • Chức năng nhiệm vụ
    • Ban lãnh đạo đương nhiệm
    • Lãnh đạo NHNN qua các thời kỳ
  • Fintech - Nghiên cứu trao đổi
  • Tạp chí Ngân hàng

Sử dụng mô hình nhị thức để định giá trái phiếu có kèm các quyền chọn

22/12/2022 23:24:00
0:00
/
0:00
Giọng Nam
  • Giọng Nam
  • Giọng Nữ

Ngày 28/02/2019, Thủ tướng Chính phủ ban hành Quyết định số 242/QĐ-TTg phê duyệt đề án “Cơ cấu lại thị trường chứng khoán và thị trường bảo hiểm đến năm 2020 và định hướng đến năm 2025”, theo đó vạch rõ 8 giải pháp…

1. Giới thiệu
 

Ngày 28/02/2019, Thủ tướng Chính phủ ban hành Quyết định số 242/QĐ-TTg phê duyệt đề án “Cơ cấu lại thị trường chứng khoán và thị trường bảo hiểm đến năm 2020 và định hướng đến năm 2025”, theo đó vạch rõ 8 giải pháp cơ cấu lại thị trường chứng khoán, trong đó đa dạng hóa các sản phẩm trái phiếu, phát hành các sản phẩm trái phiếu mới (trái phiếu có lãi suất thả nổi, trái phiếu có gốc, lãi được giao dịch tách biệt, trái phiếu gắn với chỉ số lạm phát, cơ cấu lại danh mục nợ trái phiếu Chính phủ thông qua các nghiệp vụ mua lại, hoán đổi…) là một trong các giải pháp quan trọng.
 

Với vai trò ngày càng gia tăng của các ngân hàng thương mại trên thị trường vốn nói chung và thị trường trái phiếu nói riêng, việc nghiên cứu mô hình nhị thức để định giá các trái phiếu có kèm các quyền chọn mua, quyền chọn bán… nhằm quản trị rủi ro lãi suất, tận dụng lợi thế khi đối mặt với sự biến động của lãi suất cũng là một nhiệm vụ quan trọng của các ngân hàng thương mại trong giai đoạn hiện nay.
 

Trong bài nghiên cứu “Định giá trái phiếu bằng mô hình nhị thức” đăng trên Tạp chí Ngân hàng số 01, tháng 01/2022, khung phân tích trái phiếu có quyền chọn, các kỹ thuật xây dựng và hiệu chỉnh cây lãi suất nhị thức đã được trình bày khá chi tiết. Như phần thứ hai của bài nghiên cứu trên, bài viết này tiếp tục bàn về các kỹ thuật định giá trái phiếu không có quyền chọn1 (trái phiếu thông thường), định giá trái phiếu có quyền chọn mua, định giá trái phiếu có quyền chọn bán bằng cây lãi suất nhị thức2. 

 

2. Định giá trái phiếu không có quyền chọn bằng cây lãi suất
 

Để minh họa cách sử dụng cây lãi suất nhị thức, xét một trái phiếu công ty giản đơn (không có quyền chọn), còn 4 năm nữa mới đáo hạn, trả lãi định kỳ 6,5%/năm.

Giả định rằng một nhà phân tích
thu thập được số liệu về lợi suất như sau:
 


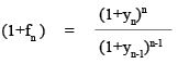
Từ các số liệu này, nhà phân tích xác định lãi suất giao ngay và lãi suất kỳ hạn 1 năm như sau: 

 

 

 

Với dữ liệu của lãi suất giao ngay, từ phương trình3:
 

Có thể tính được lãi suất kỳ hạn 1 năm như sau:
 

 

 

Giá trái phiếu này có thể tính bằng một trong ba cách, cả ba cách đều cho ra cùng một kết quả.


Cách thứ nhất: Chiết khấu các dòng tiền của trái phiếu theo lãi suất giao ngay

 


Cách thứ hai: Chiết khấu các dòng tiền của trái phiếu theo lãi suất kỳ hạn 1 năm:
 

 

Cách thứ ba: Sử dụng cây lãi suất nhị thức:

Bảng 1: Cây lãi suất định giá trái phiếu không quyền chọn, đáo hạn sau 4 năm, trả lãi định kỳ 6,5%/năm


Bảng 1 trình bày cây lãi suất nhị thức hợp lý để định giá trái phiếu không quyền chọn, trả lãi định kỳ 6,5%.  

Bảng 2: Định giá trái phiếu không quyền chọn, đáo hạn sau 4 năm, trả lãi định kỳ 6,5%/năm (độ biến động giả định 10%)


Bảng 2 hiển thị các giá trị khác nhau trong quá trình chiết khấu bằng cách sử dụng mắt lưới lãi suất nhị thức trong Bảng 1. Gốc của cây lãi suất nhị thức cho thấy giá trị trái phiếu là 120,649. Đây cũng chính là giá trị được tìm thấy bằng cách chiết khấu dòng tiền
theo lãi suất giao ngay hoặc lãi suất kỳ hạn một năm. 
 

Kết quả nhất quán giữa 3 mô hình định giá chứng tỏ rằng, bên cạnh mô hình định giá chuẩn cho trái phiếu không có quyền chọn, mô hình định giá bằng cây lãi suất nhị thức là mô hình đáng tin cậy.

 

3. Định giá trái phiếu có quyền chọn mua (có thể mua lại)
 

Về cơ bản, việc sử dụng cây lãi suất nhị phân để định giá trái phiếu có kèm quyền chọn được thực hiện giống như trong trường hợp trái phiếu không có quyền chọn. Khác biệt duy nhất ở đây là định giá trái phiếu có kèm quyền chọn đòi hỏi phải điều chỉnh dòng tiền trên cây cho phù hợp với cấu trúc của quyền chọn. Quyết định mua lại hoặc bán lại phải được thực hiện tại các nút trên cây nơi quyền chọn đủ điều kiện để thực hiện. 
 

Trong trường hợp quyền chọn mua, quyết định thực hiện quyền chọn mua được thực hiện bởi nhà phát hành. Là người đi vay tiền, nhà phát hành sẽ thực hiện quyền chọn mua khi giá trị hiện tại (Present Value - PV) của dòng tiền trong tương lai của trái phiếu lớn hơn giá mua lại (giá thực hiện) vì để nó lại đắt hơn nhiều so với chuộc lại (mua lại) nó.  

Bảng 3: Định giá trái phiếu có thể mua lại, đáo hạn sau 4 năm, trả lãi định kỳ 6,5%/năm, có thể mua lại sau năm đầu tiên ở giá 100 nghìn đồng (độ biến động giả định là 10%)


Ví dụ, xét một trái phiếu trả lãi định kỳ hằng năm 6,5% với thời gian đáo hạn còn lại 4 năm, có thể được mua lại trong 1 năm ở mức giá 100 nghìn đồng. Nhà phân tích sẽ định giá trái phiếu này bằng cách sử dụng cây nhị thức ở Bảng 1. Bảng 3 cho thấy các giá trị tại mỗi nút của cây nhị thức. Quy trình chiết khấu tương tự như quy trình được trình bày trong Bảng 1. 
 

Sau khi thực hiện chiết khấu dòng tiền tại các nút, bước tiếp theo là xác định các quyền chọn không đủ điều kiện để thực hiện mua lại. Để ý rằng, trong năm thứ hai và năm thứ ba, PV tại tất cả các nút đều không nhỏ hơn giá thực hiện (giá mua lại) nên không có quyền chọn nào được thực hiện (xem Bảng 4).  
 

Bảng 4: Định vị các nút có quyền chọn không được thực hiện trong năm thứ hai và năm thứ ba cho trái phiếu có thể mua lại


Do tất cả các PV trong Bảng 3 đều lớn hơn giá thực hiện (giá mua lại) nên quyền chọn sẽ được thực hiện (xem Bảng 5). 

Bảng 5: Định vị các nút có quyền chọn sẽ được thực hiện trong năm thứ hai và năm thứ ba cho trái phiếu có thể mua lại


Sau khi đã định vị được giá trị của các nút hội đủ điều kiện mua lại, bước kế tiếp là thực hiện thay đổi dòng tiền tại mỗi nút để xác định giá trị của trái phiếu có thể mua lại.  
 

Cần lưu ý phương pháp thay đổi dòng tiền trong quá trình định giá trái phiếu có thể mua lại. Trong năm thứ ba, ví dụ, tại nút NHHL, quá trình định giá lặp lại tạo ra PV là 104,733. Với quy tắc mua lại, trái phiếu sẽ được nhà phát hành mua lại. Do đó, 100 sẽ được hiển thị là giá trị thứ hai (giá trị thay thế) tại nút và chính giá trị này sau đó được sử dụng khi quá trình định giá tiếp tục. Tiếp tục thay thế giá trị các nút tại các nút đủ điều kiện mua lại (NH, NL của năm thứ nhất, NHL của năm thứ hai) vào bảng tính MS Excel, giá trị cuối cùng của trái phiếu có thể mua lại này là 120,649 nghìn đồng (Bảng 5).


Theo công thức (2):
 

PCB=PS-PC

Giá trị của quyền chọn mua được tính là sự chênh lệch giữa giá trị của trái phiếu không có quyền chọn và giá trị của trái phiếu có quyền chọn mua lại. Với giá trị của trái phiếu không có quyền chọn là 120,649 (PS), giá trị của trái phiếu có quyền chọn mua lại là 105,960 (PCB), giá trị của quyền chọn mua (PC) là 14,689 (= 120,649 - 105,960).

 

4. Định giá trái phiếu có quyền chọn bán (có thể bán lại)
 

Trong trường hợp trái phiếu có thể bán lại, quyết định thực hiện quyền chọn bán được thực hiện bởi các nhà đầu tư. Là người đi vay tiền, nhà đầu tư sẽ thực hiện quyền chọn bán khi giá trị của dòng tiền trong tương lai của trái phiếu thấp hơn giá bán (giá thực hiện).
 

Tương tự với Bảng 3, Bảng 6 chỉ ra cây nhị thức có các giá trị ở mỗi nút mà nhà đầu tư có thực hiện quyền chọn bán hay không. Để ý rằng, trong năm thứ hai và năm thứ ba, PV tại các nút NHH, NHHH và NHHL đều không nhỏ hơn giá thực hiện (giá mua lại) nên không có quyền chọn bán nào sẽ được nhà đầu tư thực hiện. 
 

Bảng 7 cho thấy, không có nút nào có giá trị thấp hơn giá thực hiện để nhà đầu tư phải thực hiện quyền chọn. Tuy nhiên, trong các trường hợp khác, khi giá trị tại một nút nhỏ hơn giá thực hiện và nhà đầu tư thực hiện quyền chọn bán, giá trị của trái phiếu tại các nút đủ điều kiện bán lại phải được thay đổi để phản ánh giá trị cao hơn nếu quyền chọn được thực hiện. Thủ tục thay thế dòng tiền được thực hiện tương tự Bảng 6.

Bảng 6: Định giá các trái phiếu có thể bán lại, đáo hạn sau 4 năm, lãi suất định kỳ 6,5%/năm, có thể bán lại sau năm đầu tiên ở mức giá 100 nghìn đồng (độ biến động giả định 10%)


Giá trị cuối cùng của trái phiếu có thể bán lại này là 120,649 nghìn đồng (Bảng 7). 
 

Bảng 7: Định giá trái phiếu có quyền chọn bán, đáo hạn sau 4 năm, trả lãi định kỳ 6,5%/năm và có thể bán lại sau năm đầu tiên ở mức giá 100 nghìn đồng (độ biến động giả định 10%)


Từ công thức (3):


PPB=PS+PP

Với PS (trái phiếu không có quyền chọn) là 120,649, PPB (trái phiếu có thể bán lại) là 120,649), giá trị của quyền chọn bán (PP) là được mua bởi nhà đầu tư là 0.

 

5. Kết luận
 

Sự phức tạp trong việc xây dựng mô hình định giá trái phiếu có các quyền chọn và các chứng khoán phái sinh thuộc loại quyền chọn4 là dòng tiền sẽ phụ thuộc vào lãi suất trong tương lai. Để nắm bắt sự biến động ngẫu nhiên của lãi suất nhằm quản trị rủi ro lãi suất, trong thực tế, nhiều mô hình khác nhau đã được xây dựng và áp dụng. Một trong các mô hình đơn giản nhất trong các mô hình nói trên là mô hình mắc lưới lãi suất5. Với giả định chỉ có thể có hai mức lãi suất trong kỳ tiếp theo với mức lãi suất hiện tại, mô hình mắc lưới lãi suất được gọi là mô hình nhị thức6. Tuy chỉ khảo sát hai khả năng tăng hoặc giảm trong tương lai của lãi suất khi dịch chuyển từ một thời kỳ sang thời kỳ kế tiếp, phương pháp luận mắc lưới của mô hình nhị thức lại có nhiều ứng dụng trong thực tiễn vì không những nó được sử dụng để định giá trái phiếu có các quyền chọn mà nó còn có thể được sử dụng để định giá chứng khoán có lãi suất thả nổi với các chứng khoán phái sinh thuộc loại quyền chọn, quyền chọn trái phiếu7, quyền chọn lãi suất trần (cho trái phiếu có lãi suất thả nổi)8, quyền chọn lãi suất sàn (cho trái phiếu có lãi suất thả nổi)9, quyền chọn các hợp đồng hoán đổi10 và hoán đổi kỳ hạn11.
 

Với nhiều ứng dụng trong thực tiễn như đã đề cập ở trên, việc tìm hiểu và nắm vững phương pháp luận cùng với các kỹ thuật định giá trái phiếu theo mô hình nhị thức là điều kiện cần để các nhà đầu tư, các nhà phát hành, các ngân hàng thương mại thích nghi nhanh với sự phát triển sâu, rộng của thị trường một khi Chính phủ triển khai mạnh mẽ, đồng bộ các giải pháp cơ cấu toàn diện lại thị trường trái phiếu vốn tồn tại nhiều bất cập trong thời gian qua ở nước ta như đa dạng hóa các sản phẩm trái phiếu, phát hành các sản phẩm trái phiếu có lãi suất thả nổi, trái phiếu có gốc và lãi được giao dịch tách biệt, trái phiếu gắn với chỉ số lạm phát, các trái phiếu phái sinh thuộc loại quyền chọn, sử dụng các hợp đồng quyền chọn, các hợp đồng hoán đổi, các nghiệp vụ mua lại để cơ cấu lại danh mục nợ trái phiếu Chính phủ trong thời gian tới.

 


1 Option-free bond
2 Binomial interest-rate tree
3 Xem Bodie, Z., Kane, A., Marcus, A. (2014, trang 493)
4 Option-type derivatives
5 Interest-rate lattice
6 Binomial model
7 Options on bonds
8 Caps. Quyền chọn này tạo lợi thế cho nhà phát hành trái phiếu nếu lãi suất tăng.
9 Floors. Quyền chọn này tạo lợi thế cho nhà đầu tư trái phiếu nếu lãi suất giảm.
10 Swaptions
11 Forward-start swaps


Tài liệu tham khảo:
 

1. Adams, J. F., & Smith, D. J. (2019). Fixed income analysis (4th ed). New Jersey: Wiley.

2. CFA Institute (2017). CFA Program curriculum, Level 1, Volume 5. New Jersey: Wiley.

3. Choudhry, M., Moskovie, D., & Wong, M. (2014). Fixed income markets (2nd ed). Hoboken, New Jersey: Wiley.

4. Bodie, Z., Kane, A., & Marcus, A. (2014). Investments (10th ed). New York: McGraw-Hill.


TS. Hồ Công Hưởng
Đại học Ngân hàng Thành phố Hồ Chí Minh

 


  • aA
  • Các chuyên mục:
  • Fintech - Nghiên cứu trao đổi
  • Tạp chí Ngân hàng
CÁC TIN KHÁC
Thanh toán trong kỷ nguyên số: Yêu cầu tái định vị vai trò của ngân hàng
19/01/2026
Dự thảo Nghị định về Tiền di động: Tạo thuận lợi gắn với kiểm soát rủi ro
18/12/2025
Triển vọng Fintech toàn cầu: Từ tăng trưởng nhanh sang tăng trưởng bền vững
15/07/2025
Chuyển đổi số ở các ngân hàng thương mại Việt Nam: Thành tựu, thách thức và một số kiến nghị hoàn thiện
02/07/2025
Tăng cường ổn định tài chính nâng cao khả năng chống chịu trong bối cảnh kinh tế hiện nay
03/06/2025
Lộ trình giảm lãi suất trong năm 2025 được mở ra từ Fed
02/06/2025
ECB cảnh báo nguy cơ suy giảm niềm tin ngân hàng từ tài sản mã hóa
05/06/2025
ECB điều chỉnh chính sách trong bối cảnh lạm phát hạ nhiệt
06/06/2025
Thụy Sĩ: Chỉ số giá tiêu dùng vào vùng giảm phát, yếu tố thúc đẩy nới lỏng tiền tệ
05/06/2025
Hạn hán - Thách thức mới cho ổn định tài chính Khu vực đồng Euro
02/06/2025
Đang hiển thị 1 đến 10 của 2665
  • 1
  • 2
  • 3
  • 267
Giới thiệu NHNN
  • Sơ lược quá trình thành lập và phát triển
  • Chức năng nhiệm vụ
  • Ban lãnh đạo đương nhiệm
  • Lãnh đạo NHNN qua các thời kỳ
CPI
Lãi suất
Dự trữ bắt buộc
Hoạt động thị trường tiền tệ
  • Nghiệp vụ thị trường mở
  • Thông tin chào bán tín phiếu NHNN
  • Đấu thầu Tín phiếu kho bạc nhà nước
    • Thông báo đấu thầu
    • Kết quả đấu thầu
  • Giấy mời tham gia đấu thầu vàng
Cải cách hành chính
  • Tin tức CCHC
  • Bản tin CCHC nội bộ
  • Văn bản CCHC
  • Phiếu lấy ý kiến giải quyết TTHC
  • Bộ câu hỏi về thủ tục hành chính NHNN
  • Danh mục điều kiện kinh doanh
  • Danh mục báo cáo định kỳ
  • HTQLCL theo tiêu chuẩn ISO
  • Đào tạo ISO
Dịch vụ công trực tuyến
Hoạt động khác
  • Đầu tư, đấu thầu
    • Thông tin đấu thầu
    • Các dự án đang chuẩn bị đầu tư
    • Các dự án đang triển khai
    • Các dự án đã hoàn tất
  • Tài chính vi mô tại Việt Nam
  • Ổn định tài chính
    • Giới thiệu
      • Ổn định tài chính và vai trò của ổn định tài chính
      • Vai trò của NHTW đối với ổn định tài chính
    • Báo cáo chuyên đề về ổn định tài chính
  • Hợp tác quốc tế
    • Quan hệ với ADB
    • Quan hệ với IMF
    • Quan hệ với IBEC - IIB
    • Quan hệ với WB
    • Quan hệ với AIIB
    • Quan hệ với BIS
    • Quan hệ song phương
      • Tổng quan về hoạt động hợp tác song phương
      • Khu vực châu Á
      • Khu vực châu Âu
      • Khu vực châu Mỹ
      • Khu vực châu Phi
      • Khu vực châu Đại Dương
    • Quan hệ đa phương
      • Tổng quan về hoạt động hợp tác đa phương
      • Giới thiệu tổ chức APEC
      • Giới thiệu tổ chức ASEM
      • Giới thiệu tổ chức WTO
      • Giới thiệu tổ chức ASEAN
      • Giới thiệu SEACEN
  • Công nghệ thông tin
    • Chiến lược phát triển và ứng dụng CNTT trong hoạt động ngân hàng
    • Hỗ trợ kỹ thuật
    • An toàn thông tin
      • Danh sách đầu mối ứng cứu sự cố ANTT
      • Hoạt động mạng lưới ứng cứu sự cố ANTT
      • Văn bản chính sách ANTT
      • Tài liệu tuyên truyền nâng cao nhận thức ANTT
  • Hoạt động khoa học công nghệ
    • Các chương trình đề tài
    • Kết quả các chương trình, đề tài
    • Hợp tác nghiên cứu
    • Dịch vụ khoa học công nghệ
    • Chiến lược phát triển ngành ngân hàng
  • Tổ chức cán bộ
    • Tuyển dụng
  • Thi đua khen thưởng
    • Văn bản về thi đua khen thưởng
    • Công tác thi đua khen thưởng
    • Lấy ý kiến nhân dân đối với tập thể, cá nhân được đề nghị khen thưởng cấp nhà nước
  • Hệ thống báo cáo phục vụ điều hành CSTT quốc gia
  • Hoạt động Tổ chức tín dụng
  • Hoạt động đoàn thể
  • Tài chính kế toán
    • Chế độ kế toán của NHNN
      • Văn bản quy phạm pháp luật
      • Văn bản hướng dẫn
    • Quản lý tài chính, tài sản của NHNN
      • Văn bản
      • Tình hình triển khai
    • Chế độ kế toán của TCTD
      • Văn bản quy phạm pháp luật
      • Văn bản hướng dẫn
    • Quản lý đầu tư xây dựng cơ bản
Cơ chế chính sách hỗ trợ doanh nghiệp
  • Các chính sách của NHNN
  • Các chính sách của TCTD
  • Giải đáp chính sách
  • Hỗ trợ pháp lý cho DNVVN
NHNN với Quốc hội và cử tri
  • Thống đốc NHNN trả lời đại biểu Quốc hội và cử tri
  • Thống đốc NHNN trả lời chất vấn của đại biểu Quốc hội
  • Thống đốc trả lời ý kiến, kiến nghị của cử tri
    • Thống đốc trả lời kiến nghị cử tri theo tỉnh, thành phố
    • Thống đốc trả lời kiến nghị cử tri theo nhóm vấn đề
  • Hoạt động về công tác Quốc hội
  • Báo cáo, giải trình
    • Báo cáo của NHNN
    • Giải trình của NHNN
  • Tài liệu tham khảo
    • Nghị quyết của Quốc hội
    • Báo cáo tại các Kỳ họp của Quốc hội
    • Nghị quyết của Ủy ban Thường vụ Quốc hội
  • Liên hệ
Công bố thông tin của Doanh nghiệp nhà nước thuộc ngành Ngân hàng
  • Danh sách Doanh nghiệp do NHNN quản lý và phần vốn góp tại Doanh nghiệp
  • Thông tin định kỳ
    • Chiến lược phát triển của doanh nghiệp
    • Kế hoạch sản xuất, kinh doanh và đầu tư phát triển 05 năm của doanh nghiệp
    • Kế hoạch sản xuất, kinh doanh và đầu tư phát triển hằng năm của doanh nghiệp
    • Báo cáo đánh giá về kết quả thực hiện kế hoạch sản xuất, kinh doanh hằng năm và 03 năm gần nhất tính đến năm báo cáo
    • Báo cáo kết quả thực hiện các nhiệm vụ công ích và trách nhiệm xã hội khác (nếu có)
    • Báo cáo thực trạng quản trị và cơ cấu tổ chức của doanh nghiệp
    • Báo cáo tình hình đầu tư, quản lý, sử dụng vốn nhà nước tại doanh nghiệp
    • Quyết định giao chỉ tiêu đánh giá hằng năm
    • Kế hoạch giám sát các doanh nghiệp
    • Báo cáo tài chính 06 tháng và báo cáo tài chính năm của doanh nghiệp
    • Báo cáo chế độ tiền lương, tiền thưởng của doanh nghiệp
    • Báo cáo tình hình thực hiện sắp xếp, đổi mới doanh nghiệp hằng năm
  • Thông tin bất thường
Hệ thống các TCTD
  • Ngân hàng
    • Ngân hàng thương mại
      • NHTM Nhà nước
      • NHTM Cổ phần
      • Ngân hàng 100% vốn nước ngoài
      • Ngân hàng liên doanh
    • Ngân hàng Chính sách xã hội
    • Ngân hàng Hợp tác xã
  • TCTD phi ngân hàng
    • Công ty tài chính
    • Công ty cho thuê tài chính
    • TCTD phi ngân hàng khác
  • Tổ chức tài chính vi mô
  • Quỹ tín dụng nhân dân
  • Chi nhánh ngân hàng nước ngoài
  • Văn phòng đại diện
Chương trình, chính sách tín dụng trọng điểm
  • Cơ chế, chính sách tín dụng, các chương trình, gói tín dụng hỗ trợ doanh nghiệp nhỏ và vừa
    • Văn bản chỉ đạo, điều hành
    • Kết quả triển khai
  • Chương trình khác
    • Kết quả triển khai
    • Văn bản chỉ đạo, điều hành
  • Chính sách tín dụng phục vụ phát triển nông nghiệp, nông thôn
    • Văn bản chỉ đạo, điều hành
    • Kết quả triển khai
Phổ biến kiến thức
  • Phổ biến kiến thức pháp luật
  • Các nội dung phổ biến kiến thức cộng đồng
    • Tiền Việt Nam - những điều bạn nên biết
      • Phát hành và điều hòa tiền mặt
      • Tiền không đủ tiêu chuẩn lưu thông
      • Tiền đình chỉ lưu hành
      • Phân biệt tiền thật, tiền giả
      • Bảo vệ tiền Việt Nam
    • Các hoạt động thanh toán qua ngân hàng
      • Một số thông tin về thẻ ngân hàng
      • Những điều cần biết khi giao dịch qua ngân hàng điện tử
Tiếp cận thông tin
  • Danh mục thông tin công khai
  • Thông tin về đầu mối cung cấp thông tin cho công dân
  • Địa chỉ tiếp nhận yêu cầu cung cấp thông tin qua mạng điện tử
  • Các mẫu phiếu sử dụng trong cung cấp thông tin
  • Hướng dẫn yêu cầu cung cấp thông tin
Thanh Tìm kiếm
TIN VIDEO
Ngân hàng Nhà nước Khu vực 5: Lan toả kỹ năng số trong mỗi cán bộ ngân hàng
Ngân hàng Nhà nước Khu vực 5: Lan toả kỹ năng số trong mỗi cán bộ ngân hàng
TIN ẢNH
Ấn tượng ngành Ngân hàng tại Triển lãm thành tựu Đất nước "80 năm Hành trình Độc lập - Tự do - Hạnh phúc"
Ấn tượng ngành Ngân hàng tại Triển lãm thành tựu Đất nước "80 năm Hành trình Độc lập - Tự do - Hạnh phúc"
TIN ẢNH
Ấn tượng ngành Ngân hàng tại Triển lãm thành tựu Đất nước "80 năm Hành trình Độc lập - Tự do - Hạnh phúc"
Ấn tượng ngành Ngân hàng tại Triển lãm thành tựu Đất nước "80 năm Hành trình Độc lập - Tự do - Hạnh phúc"
Icon

Danh bạ liên hệ

Icon

Phản ánh kiến nghị

Icon

Đường dây nóng

Calendar Icon LỊCH LÀM VIỆC CỦA BAN LÃNH ĐẠO Microphone Icon CÁC BÀI PHÁT BIỂU Chart Icon CPI Percentage Icon LÃI SUẤT Money Icon DỰ TRỮ BẮT BUỘC Graduation Icon GIÁO DỤC TÀI CHÍNH Newspaper Icon THÔNG CÁO BÁO CHÍ ẤN PHẨM PHÁT HÀNH
Ngân hàng
ĐẠI HỘI ĐẢNG CÁC CẤP NHIỆM KỲ 2025-2030 Chuyển đổi số
Danh Bạ Liên Hệ Phản Ánh Kiến Nghị Đường Dây Nóng
© cổng thông tin điện tử ngân hàng nhà nước việt nam
Địa chỉ: 49 Lý Thái Tổ - Hoàn Kiếm - Hà Nội
Thường trực Ban biên tập: (84 - 243) 266.9435
Email: thuongtrucweb@sbv.gov.vn rss
NCSC Certification
Số điện thoại tổng đài Ngân hàng Nhà nước: (84 - 243) 936.6306
Đầu mối tiếp nhận thông tin về sự cố an toàn thông tin: số điện thoại: (+84) 84.859.5983, email: antt@sbv.gov.vn
IPv6 Ready